线性注意力机制:大型语言模型高效计算的探索

本文综述了线性注意力机制,探讨其如何解决大型语言模型中softmax注意力机制的二次复杂度瓶颈,并介绍了门控线性注意力和状态空间模型等优化方案。

原文标题:线性化注意力综述:突破Softmax二次复杂度瓶颈的高效计算方案

原文作者:数据派THU

冷月清谈:

大型语言模型的性能卓越,但其核心组件softmax注意力机制的二次方计算复杂度限制了效率,尤其在处理长序列时。本文梳理了线性注意力机制的发展脉络,探讨了如何突破这一计算瓶颈。

线性注意力通过核函数重构,将计算复杂度降至线性,但牺牲了部分上下文信息保留能力。为弥补这一缺陷,门控线性注意力机制引入门控函数,选择性保留关键信息。

状态空间模型(SSMs)提供了另一种思路,它将序列处理转化为类似CNN的卷积操作,H3模型就是其实践。而选择性SSM则更进一步,通过时变动力系统,根据输入动态调整参数,Mamba模型即基于此构建。

从softmax到线性注意力,再到SSMs,核心在于平衡计算效率和信息容量。如何兼顾两者仍是序列建模领域的关键挑战。

怜星夜思:

1、除了文中提到的这些方法,还有哪些其他的线性注意力机制或者优化策略?
2、线性注意力机制在实际应用中,相比传统的softmax注意力机制,性能差距有多大?
3、未来线性注意力机制的研究方向有哪些?

原文内容

来源:Deephub Imba

本文约3200字,建议阅读5分钟

本文系统性地探讨了高效序列建模架构的演进历程。


大型语言模型在各个领域都展现出了卓越的性能,但其核心组件之一——softmax注意力机制在计算资源消耗方面存在显著局限性。本文将深入探讨如何通过替代方案实现线性时间复杂度,从而突破这一计算瓶颈。


注意力机制基础理论


本文假设读者已经熟悉ChatGPT、Claude等模型及其底层的transformer架构原理。注意力机制是这类模型的核心组件。与传统循环神经网络(RNN)将历史信息压缩存储在固定维度的隐藏状态中不同,注意力机制能够直接访问和选择性利用历史信息。这种机制本质上是在每次预测时,根据当前查询动态检索最相关的历史信息。

transformer架构中的注意力机制通过键(key)、查询(query)和值(value)三个嵌入向量实现信息的动态检索。具体而言transformer的注意力机制通过计算查询向量与所有键向量的相似度,获得注意力权重,再用这些权重对相应的值向量进行加权组合。这一计算过程可以形式化表示为:
图片

这种机制使模型能够在生成预测时有选择地利用整个上下文中的相关信息。在此过程中使用softmax函数的目的是将原始相似度分数转换为概率分布,这在本质上类似于k近邻机制,即相关性更高的键值对获得更大的权重。

下面我们分析单个注意力层的计算复杂度:

Softmax机制的计算瓶颈


通过上述分析可以看出,标准注意力机制需要对NxN维度的矩阵执行softmax运算,这导致计算复杂度随序列长度呈二次方增长。虽然这种计算复杂度对于较短序列是可接受的,但在处理长度达到100k以上的序列时,计算效率会显著降低。

这一计算瓶颈促使研究者们思考:是否存在能够降低计算复杂度的替代方案?这就引出了线性注意力机制的研究。

线性注意力机制


Katharopoulos等人提出了一种创新性的解决方案,他们通过将softmax指数函数重写为特征映射φ(x)的点积形式的核函数,并利用矩阵乘法的结合律,成功将注意力计算重构为线性形式。这一转换过程如下图所示:

在该方法中Katharopoulos等人采用elu(x) + 1作为特征映射函数φ(x)。任何能够有效近似指数相似度的核特征映射都可以作为候选函数。这种方法的计算复杂度可以表示为:

这种重构方法消除了计算完整N×N注意力矩阵的需求,将复杂度降低至O(Nd²),其中d表示嵌入维度。在大型语言模型中,通常序列长度N远大于嵌入维度d,因此这种方法实际上实现了线性时间复杂度。

从循环的角度来看线性注意力机制:


为什么这种转换在线性注意力中可行而在softmax中不可行呢?这是因为softmax函数本质上不可分离,无法分解为独立项的乘积。在解码阶段,由于只需要维护d × d维度的状态矩阵S_(n-1),每个token的生成复杂度仅为O(d²)。

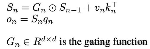
但是这种计算效率的提升也带来了一个重要的局限性。由于状态矩阵S_(n-1)的维度限制为d × d,其信息存储容量存在上限。比如:如果原始上下文需要存储20d²的信息量,在压缩过程中将不可避免地损失19d²的信息。这揭示了线性注意力机制中计算效率与内存容量之间的根本性权衡:通过维持固定维度的状态矩阵获得计算效率的同时,也限制了上下文信息的保存能力。这一矛盾促使研究者们引入门控机制来优化这一权衡。

门控线性注意力机制


前文分析表明,在使用固定维度状态矩阵优化计算效率的过程中,信息损失是不可避免的。这引发了一个关键问题:是否可以通过某种机制来优化信息保留策略?门控机制正是为解决这一问题而提出的。研究者们将其作为一种选择性信息过滤机制,通过智能地选择需要保留的信息来最小化信息损失的影响。门控并非新概念,在LSTM等架构中已经得到了广泛应用和验证。

门控线性注意力对状态矩阵Sn的构建方式进行了改进:

门控函数G有多种可能的实现方式,不同的选择会导致不同的模型特性:

来源:Yang, Songlin, et al. "Gated linear attention transformers with hardware-efficient training." arXiv preprint arXiv:2312.06635(2023).

这种架构的一个显著优势在于:门控函数仅依赖于当前token x和可学习参数,而不需要考虑完整的序列历史。由于各个token的门控计算相互独立,这种设计实现了训练过程的高效并行化,使得序列中所有token的门控运算能够同时进行。

状态空间模型


在处理序列数据(如文本或时间序列)时,传统方法通常依赖注意力机制或RNN。状态空间模型(SSMs)提供了一种全新的视角:它将序列处理问题转化为类似于CNN处理图像的方式,通过卷积操作来捕获序列信息。

状态空间模型通过离散线性时不变系统来形式化这一思想:

这种方法与卷积运算的关系可以表示为:


其中F表示从参数(A, B, c)学习得到的卷积核,*代表卷积运算。

H3模型通过设计包含两个互补SSM层的结构化架构来实现这一理论框架:

来源:Fu, Daniel Y., et al. "Hungry hungry hippos: Towards language modeling with state space models." arXiv preprint arXiv:2212.14052 (2022).

H3将输入分解为三个通道以模拟K、Q、V结构,并通过组合两个SSM层和两个门控机制来模拟线性注意力的功能。实验结果表明,这种架构设计在实际应用中展现出了优异的性能。

选择性状态空间模型


前文讨论的门控线性注意力通过引入数据依赖的信息保留机制改进了标准线性注意力。状态空间模型同样面临类似的局限性:控制状态转换和输出的参数A、B和c都是固定且数据无关的。这意味着所有输入都要经过相同的静态系统处理,而不考虑输入的重要性或上下文信息。

为解决这一问题,研究者们提出了通过时变动力系统来扩展SSMs:

这种扩展的核心问题在于如何将c_t、b_t和A_t参数化为输入的函数。不同的参数化方案可能导致模型趋近于线性注意力或门控注意力机制。

Mamba模型通过选择性SSM块实现了这种时变状态空间框架:

来源:Gu, Albert, and Tri Dao. "Mamba: Linear-time sequence modeling with selective state spaces." arXiv preprint arXiv:2312.00752 (2023).

Mamba的创新之处在于用选择性SSM取代了标准SSM,并结合输出门控和额外的卷积操作来提升性能。这种架构设计展示了如何将多个关键组件有机地整合为一个高效的序列建模系统。

总结


本文系统性地探讨了高效序列建模架构的演进历程。从传统softmax注意力机制的二次计算复杂度限制出发,研究者们发展出了线性注意力机制。通过核函数的重构,线性注意力实现了O(Nd²)的计算复杂度,但同时也面临着固定维度状态矩阵带来的内存限制。

这一限制促使了门控线性注意力的提出,通过引入门控机制实现选择性信息保留。随后,状态空间模型提供了一个全新的视角,通过类卷积操作处理序列数据。从基础SSMs到时变系统,再到选择性SSMs的发展过程,与线性注意力到门控注意力的演进具有相似性——在这两个方向上,增强模型对输入数据的适应性都是提升性能的关键。

这些发展揭示了一个核心主题:计算效率与内存容量之间的基本权衡。softmax注意力通过维持完整序列的注意力权重实现了出色的上下文学习能力,但付出了二次计算复杂度的代价。线性变体(包括SSMs)通过固定维度的状态表示降低了计算复杂度,但也限制了保持详细上下文信息的能力。这种权衡仍然是序列建模领域的核心挑战,继续推动着研究者们探索能够更好平衡这些竞争需求的架构设计。

相关文献


线性注意力:Katharopoulos, Angelos, et al. "Transformers are rnns: Fast autoregressive transformers with linear attention." International conference on machine learning. PMLR, 2020.

GLA:Yang, Songlin, et al. "Gated linear attention transformers with hardware-efficient training." arXiv preprint arXiv:2312.06635(2023).

H3:Fu, Daniel Y., et al. "Hungry hungry hippos: Towards language modeling with state space models." arXiv preprint arXiv:2212.14052 (2022).

Mamba:Gu, Albert, and Tri Dao. "Mamba: Linear-time sequence modeling with selective state spaces." arXiv preprint arXiv:2312.00752 (2023).

Waleffe, Roger, et al. "An Empirical Study of Mamba-based Language Models." arXiv preprint arXiv:2406.07887 (2024).


编辑:王菁



关于我们

数据派THU作为数据科学类公众号,背靠清华大学大数据研究中心,分享前沿数据科学与大数据技术创新研究动态、持续传播数据科学知识,努力建设数据人才聚集平台、打造中国大数据最强集团军。



新浪微博:@数据派THU

微信视频号:数据派THU

今日头条:数据派THU

关于线性注意力的未来研究方向,我认为一个重要的方向是开发更有效的核函数或特征映射,以更好地近似softmax注意力,同时保持线性复杂度。另外,如何更好地平衡计算效率和信息容量也是一个关键问题。

对于“未来线性注意力机制的研究方向有哪些”,我觉得可以从以下几个方面考虑:
1. 如何在保持线性复杂度的同时,提高模型对上下文信息的理解能力,比如开发更先进的门控机制或者状态空间模型。
2. 如何将线性注意力应用于更广泛的任务,比如图像处理、语音识别等。
3. 如何设计更高效的硬件加速器,以支持线性注意力模型的训练和推理。

Reformer也是一个值得关注的模型,它使用了局部敏感哈希(LSH)来减少注意力计算的复杂度。另外,一些研究也在探索将线性注意力与其他技术结合,例如稀疏注意力,以进一步提高效率。

除了文中提到的,我还了解到一些其他的线性注意力优化策略,比如Performer,它使用正交随机特征来近似softmax注意力。还有Longformer,它结合了局部窗口注意力和全局注意力,可以在保持线性复杂度的同时处理长序列。

我觉得未来可以探索如何将线性注意力与其他技术结合,例如稀疏注意力、图神经网络等,以进一步提高效率和性能。此外,针对特定领域的线性注意力模型优化也是一个值得关注的方向。

关于性能差距,其实很难一概而论,因为不同模型的具体实现和超参数设置都会影响最终结果。而且,不同任务对上下文信息的依赖程度也不同,这也会影响线性注意力和softmax注意力的相对性能。

这个问题提的不错!据我了解,线性注意力的性能在不同数据集和任务上的表现差异很大。一些情况下,它可以达到与softmax注意力相当的性能,甚至在长序列上表现更好。但也有研究发现,在某些对上下文信息依赖较强的任务上,线性注意力的性能会下降比较明显。所以,选择哪种注意力机制需要根据具体的应用场景来权衡。

就“线性注意力机制在实际应用中,相比传统的softmax注意力机制,性能差距有多大”这个问题,实际情况比较复杂。一些研究表明,在某些任务上,线性注意力的性能可以接近甚至超过softmax注意力,尤其是在处理长序列时。但在其他一些任务上,性能差距仍然存在。

这个问题问得好!我最近在看一些论文,发现了一些新颖的线性化注意力方法,例如基于图的注意力机制,它将序列建模问题转化为图问题,并利用图神经网络来进行计算,感觉也是一个很有潜力的方向。