两位高中生发现十种全新勾股定理的证明,引起数学界关注。
原文标题:勾股定理还能这样证明?高中生一连发现10种证明方法,陶哲轩点赞
原文作者:数据派THU
冷月清谈:
怜星夜思:
2、数学研究中,学生的创新能力有多重要?
3、如何鼓励更多的学生参与数学研究?
原文内容
来源:新智元本文约4300字,建议阅读8分钟
高中生一连发现10种证明方法,快快拿起纸笔也来尝试一番证明吧!
论文已上期刊,数学家表示赞叹。
几千年过去了,勾股定理还能有新发现?而且还是被两个高中生发现的?
这个人人都会的初中二年级数学知识,在学术领域居然有了新发展。近期,UCLA 数学终身教授、菲尔兹奖得主陶哲轩在社交网络上的一番点赞引起了人们的兴趣。
陶哲轩表示,这是一篇有趣的论文,在简单探讨了两种证明是否算是同一种证明的话题之后,他提醒我们:即使是最古老和最完善的数学基础知识,有时也可以从新的角度重新审视。
在中国,周朝时期的商高提出了勾股定理的一个特例:「勾三股四弦五」。在西方,最早提出并证明此定理的为公元前六世纪古希腊的毕达哥拉斯学派,他们用演绎法证明了直角三角形斜边平方等于两直角边平方之和。所以该定理也被称为「毕达哥拉斯定理」。

勾股定理是人类早期发现并证明的重要数学定理之一,至今已成为数学定理中证明方法最多的定理之一 —— 从微分证明到面积证明,有超过 400 种证明方法。

两位高中生一口气发现了十种新方法,她们是如何证明的呢?
数学家赞叹:全新思路
故事要从 2022 年讲起,那年美国高中生 Ne’Kiya Jackson 和 Calcea Johnson 在回答数学竞赛的一道加分题时,发现了一种证明几千年历史勾股定理的新方法,令老师们赞叹不已。这仅仅是个开始。
她们写道:「在 500 美元奖金的激励下,我们决定独立承担这项任务。事实证明,这比我们最初想象的要难得多。为了得出一个证明,我们每个人都花了很多个漫长的夜晚,但都失败了。经过大约一个月的脑力劳动,我们每个人都完成并提交了我们的工作。我们高中的数学志愿老师 Rich 先生认为我们的证明足够新颖,可以在数学会议上发表。我们当时对自己的工作都没有那么自信,但我们还是决定继续下去。」
在接下来的两到三个月里,她们把所有的空闲时间都花在完善这些证明上。最终,她们获得了成功。
她们所在的学校,新奥尔良圣玛丽学院的一名志愿者鼓励她们将这个成果提交给专业会议。到 2023 年 3 月,他们成为在亚特兰大举行的美国数学学会东南分会会议上发言的最年轻的人。
她们表示:「令我们惊讶的是,我们的高中作业得到了认真对待,我们获准在 2023 年 3 月的美国数学学会东南分会会议上发言。作为会上最年轻的人和最年轻的演讲者,我们很害怕,但我们知道这是我们之前所有努力的结晶,这给了我们发言的信心。」
如今,去年开始上大学的 Jackson 和 Johnson 又取得了另一项成就:它们已经完成了一篇详细介绍该方法证明的学术论文,新工作发表在科学期刊《美国数学月刊》上。
-
论文标题:Five or Ten New Proofs of the Pythagorean Theorem
-
论文链接:https://www.tandfonline.com/doi/full/10.1080/00029890.2024.2370240#abstract
Calcea Johnson 目前在路易斯安那州立大学读环境工程专业,Ne’Kiya Jackson 正在路易斯安那泽维尔大学攻读药学博士学位。
与多年来历代数学家使用代数、几何方式解释勾股定理的方式不同,Johnson 和 Jackson 使用三角学来证明它 —— 一个专注于三角形研究的数学分支。
专家认为 Johnson 和 Jackson 的方法极其具有挑战性,因为三角学作为一个领域本质上是基于勾股定理(毕达哥拉斯定理)的。那么使用三角函数来证明该定理通常需要数学家所说的「循环论证」。然而根据新的研究,证明并不是循环的。
「我们在证明中使用的定理…… 都没有假设毕达哥拉斯定理是正确的,」作者在论文中写道。
英国布里斯托大学数学学院名誉教授 Tom Murdoch 称这项研究令人印象深刻,「我认为这项研究的有趣之处在于,很多人认为这是不可能的。」
三角函数基于正弦和余弦,它们表示为直角三角形某些长度的比率。很容易陷入循环论证,而这项研究的吸引力在于,他们找到了一条使用正弦和余弦的论证路线,同时并不假设毕达哥拉斯定理是正确的。
Johnson 和 Jackson 在研究中概述了使用三角学证明该定理的五种新方法,他们的方法揭示了另外五种证明,总共十种。两人在 2023 年的会议上只展示了其中一种证明,在新论文中,还有九种是全新的。这里我们重点来看看她们给出的五种证明以及她们发现这些证明方式的思路,更多详情可访问原论文。
勾股定理的五种证明
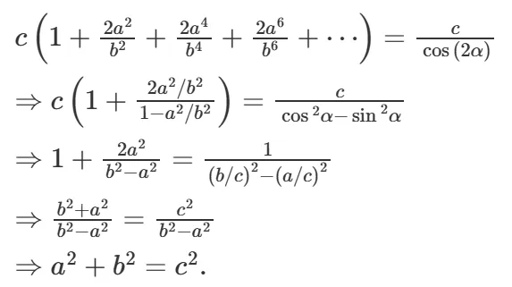
由于前面已经证明了等腰直角三角形的勾股定理,因此在下面五个证明的前四个中,会假设 ABC 是一个非等腰直角三角形,其中 𝑎<𝑏,也就等价于 𝛼<45°<𝛽。根据 [引用 1] 的严格要求,下面每个证明都将从直角三角形的图形开始。
第一种证明
在第一个证明中,他们首先是沿 △𝐴𝐵𝐶 的 AC 边进行翻折,得到一个等腰三角形 𝐴𝐵𝐵′。
现在,如图 8 所示,基于 𝐴𝐵𝐵′ 构建一个直角三角形 𝐴𝐵′𝐷,其中直角在 𝐵′ 处。然后在 △𝐵′𝐵𝐷 中填充逐步变小的 △𝐴𝐵𝐶 的相似三角形。
由于 𝐵𝐵′ 的长度为 2a,并且是 △𝐵′𝐸𝐵 的较长直角边,因此边的比值 a : b : c 表明较短直角边 BE 的长度为
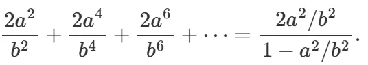
但 BE 是 △𝐵𝐹𝐸 的较长直角边,因此 △𝐵𝐹𝐸 的斜边 BF 的长度为根据构造,每个三角形的较短直角边也是下一个三角形的较长直角边,这意味着连续三角形的比率为 𝑎/𝑏;但间隔一个三角形的比率为 𝑎²/𝑏²,因此

因此,直角三角形 𝐴𝐵′𝐷 的斜边 AD 的长度为
![]()
在 △𝐴𝐵′𝐷 中,有 cos (2𝛼)=𝐴𝐵′/𝐴𝐷=𝑐/𝐴𝐷,因此 𝐴𝐷=𝑐/cos (2𝑎)。
将 AD 的两个等式合并到一起,可得:
请注意,其中一步使用了众所周知的收敛级数求和公式:
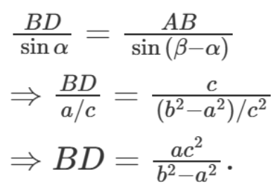
第二种证明
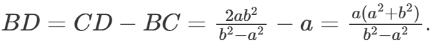
给定直角三角形 ABC,如下图所示,沿边 BC 找到一个点 D,使得 ∠𝐵𝐴𝐷=𝛼。这样一来,∠𝐴𝐷𝐶=90−2𝛼=𝛽−𝛼。
图 9
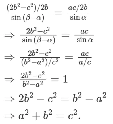
我们首先将正弦定理应用于 △𝐴𝐶𝐷:
由此得出:

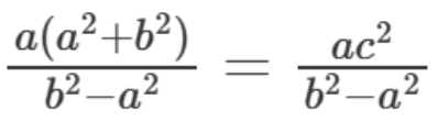
接下来,对 △𝐴𝐵𝐷 使用正弦定理:
比较 BD 的两个值,可得
,化简可得 𝑎²+𝑏²=𝑐²。第三种证明
首先,在 AC 边上找到一个点 D,使得 ∠𝐶𝐵𝐷=𝛽−𝛼,因此 ∠𝐴𝐵𝐷=𝛽−(𝛽−𝛼)=𝛼 且 ∠𝐵𝐷𝐶=90−(𝛽−𝛼)=2𝛼。如图 10 所示。
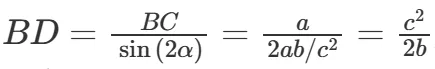
根据定义, sin (2𝛼)=𝐵𝐶/𝐵𝐷,因此
那么,
于是可得:
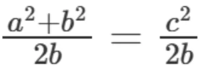
但由于 △𝐴𝐵𝐷 是等腰三角形,有 𝐴𝐷=𝐵𝐷,因此,消去 2b 后可得 𝑎²+𝑏²=𝑐²。
第四种证明
首先,如图 11 所示,画出斜边 AB 的垂直平分线 DE(使得 △𝐴𝐸𝐷∼△𝐴𝐵𝐶),然后构造矩形 AOBC 并画出它的对角线。
根据反射对称性,∠𝐵𝐶𝐷=∠𝐶𝐵𝐷=𝛽,然后 ∠𝐷𝐶𝐸=90−𝛽=𝛼 且 ∠𝐵𝐷𝐶=180−(𝛽+𝛽)=2𝛼。还有∠𝐶𝐷𝐸=90−2𝛼=𝛽−𝛼。
由于 𝐴𝐷=𝐵𝐷,有𝐴𝐷=𝐵𝐷=𝑐/2,而 △𝐴𝐸𝐷 的边之比 a:b:c 表明𝐷𝐸=𝐴𝐷(𝑎/𝑏)=𝑎𝑐/2𝑏 且 𝐴𝐸=𝐴𝐷(𝑐/𝑏)=𝑐²/2𝑏。因此:
对 △𝐶𝐷𝐸 使用正弦定理可得:
第五种证明
与前四个证明不同,第五个证明仅适用于等腰直角三角形。
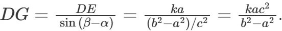
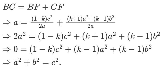
给定直角三角形 ABC,且有 𝛼≤𝛽,对于任意常数 𝑘(0<𝑘<1),可以画出一条线 DE 并使得 △𝐴𝐵𝐶∼△𝐴𝐷𝐸 具有比例因子 k。然后再画一条线 DF,使得 ∠𝐸𝐷𝐹=2𝛼。然后选择一个适当的 k 值,使得 F 位于 B 和 C 之间。
如果 ∠𝛼<45,则 DF 和 EC 可以延伸至点 G 处相交,从而得到一个直角三角形 DEG,其中 ∠𝐺=𝛽−𝛼。由于 𝐷𝐸∥𝐵𝐶,则可得 ∠𝐵𝐹𝐷=∠𝐸𝐷𝐹=2𝛼,则 ∠𝐵𝐷𝐹=180−(2𝛼+𝛽)=𝛽。对 △𝐵𝐷𝐹 使用正弦定理,可得

于是,
而在 △DEG 中,有 sin (𝛽−𝛼)=𝐷𝐸/𝐷𝐺,因此

则可得
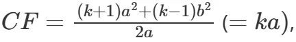
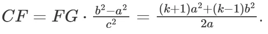
并且由于 sin (𝛽−𝛼)=𝐶𝐹/𝐹𝐺,可得
当 ∠𝛼=45 时,仍然有 𝐵𝐹=(1−𝑘)𝑐²/2𝑎 (如果 M 是 BD 的中点,则 𝐵𝑀=(1−𝑘)𝑐/2 且 𝐵𝐹=𝑐/𝑎・𝐵𝑀)并且仍然有

因此对于任何直角三角形 ABC,可知
这两位高中生是如何得到这五种证明的?
在任何创造性活动中,都有一个基本问题:「我能用已有的东西创造什么?」
对于勾股定理,这个问题就变成了:「给定直角三角形 ABC,我可以创建哪些直角三角形?」
这两位高中生对这一问题进行了解答。他们对新三角形的创建做了限制,使其角是 △𝐴𝐵𝐶 的三个角 𝛼、𝛽 和 90 (=𝛼+𝛽) 度的「整数和」和 / 或「整数差」。
引理 1
a. 如果 ABC 是等腰直角三角形(因此 𝛼=𝛽=45),那么所有角是 𝛼 和 𝛽 的整数线性组合的三角形就只有等腰直角三角形。
b. 如果直角三角形 ABC 中的 𝛼 < 𝛽,则存在一个直角三角形,其锐角为 2𝛼 和 𝛽−𝛼。此外,2𝛼 和 𝛽−𝛼 是 𝛼 和 𝛽 的唯一整数线性组合,它们将是每对 {𝛼,𝛽} 的直角三角形的锐角。
证明
a. 由于等腰三角形 ABC 的所有三个角都是 45 的倍数,因此任何新三角形(其角度限制为 △𝐴𝐵𝐶 角度的和和 / 或差)中的所有三个角仍然是 45 的倍数,因此这个三角形必须是等腰直角三角形。也就是说,如果从等腰直角三角形开始,就无法创建一个新三角形。
b. 现在假设 𝛼 < 𝛽。如果新构造的直角三角形中锐角的大小为 𝑚𝛼 + 𝑛𝛽 (𝑚,𝑛∈ℤ),则其补角大小为 90 – (𝑚𝛼 + 𝑛𝛽) =(𝛼+𝛽)–(𝑚𝛼 + 𝑛𝛽) = (1−𝑚)𝛼 + (1−𝑛)𝛽。如果整数 n 和 1−𝑛 都非零,因此其中一个(例如 n)必定为负数,则用 ⏧𝑛⏧ 替换 n,可知其中一个角度为 𝑚𝛼 – 𝑛𝛽,其中 m > n > 0。但是当 𝛼 为 90𝑛/(𝑚+𝑛) 度时,其补角 𝛽 为 90𝑚/(𝑚+𝑛) 度,这种构造会得到一个三角形,其角度为

这是不可能的,说明必定有 𝑛=0,这样对于某个 𝑚∈ℕ,其中一个锐角为 𝑚𝛼。
如果 𝑚=1,那就会得到原始三角形 ABC。如果 𝑚=2,那会得到一个新的直角三角形,其锐角为 2𝛼 和 𝛽 – 𝛼。(请注意,由于 𝛼 <45,因此 2𝛼 < 90。)最后,可以看到 𝑚 ≥ 3 是不可能的,因为不存在 30 ≤ 𝛼 < 45 的三角形。
该引理为这两位高中生提供了证明勾股定理的思路(对于非等腰直角三角形):从原始三角形 ABC 开始,尝试以尽可能多的方式创建一个新的直角三角形,其角度为 2𝛼、𝛽 – 𝛼 和 90 度。
举个例子,为了创建 2𝛼 角,一种明显方法是将两个 △𝐴𝐵𝐶 组合到一起,如图 13 所示。
这会得到一个等腰三角形𝐴𝐵𝐵′,其角度分别为 2𝛼、𝛽 和 𝛽;下一步是取其中的 𝛽 角,并将其转换为 𝛽 – 𝛼 或 90 度。
要在顶点 𝐵′ 处创建 90 度角,可构造一条射线,使它与 𝐵𝐵′ 形成 𝛼 角。如果将边 AB 延伸到点 D 处与该射线相交,则会获得前面第一个证明的图像。
图 14
又或者,如果在斜边 AB 的另一侧创建 2𝛼 角,并延伸 CB 以与新射线相交于点 D,如下所示,则将获得第二个证明的图形。
图 15
这种简单的方法可得到许多新证明,其中五个如上所示,还有五个(或更多)留给感兴趣的读者去发现。
有时,对于问题过于了解,会让我们陷入认为它「理所当然」的束缚。能用全新的眼光看待问题,也是一种稀缺的能力。
这些「高中水平」的内容你看懂了吗?快快拿起纸笔也来尝试一番证明吧!





















