本文总结了11种经典时间序列预测方法,并提供Python实现示例,适合数据分析与科学研究。
原文标题:11种经典时间序列预测方法:理论、Python实现与应用
原文作者:数据派THU
冷月清谈:
怜星夜思:
2、你有没有应用这些时间序列模型的实战经验?分享一下!
3、你认为未来时间序列预测的发展方向会是什么?
原文内容
-
自回归(AR)
-
移动平均(MA)
-
自回归移动平均(ARMA)
-
自回归积分移动平均(ARIMA)
-
季节性自回归积分移动平均(SARIMA)
-
具有外生回归量的季节性自回归积分移动平均(SARIMAX)
-
向量自回归(VAR)
-
向量自回归移动平均(VARMA)
-
具有外生回归量的向量自回归移动平均(VARMAX)
-
简单指数平滑(SES)
-
Holt-Winters指数平滑(HWES)
1、自回归(AR)模型
数学表示
优势
-
模型简单,易于理解和实现
-
适用于具有短期依赖性的时间序列
-
计算效率高
局限性
-
假设时间序列是平稳的
-
无法捕捉复杂的非线性模式
-
不适用于具有明显趋势或季节性的数据
适用场景
-
金融市场的短期价格波动预测
-
气象数据的短期预测
-
经济指标的短期预测
参数解释
-
p:自回归阶数,表示模型考虑的历史观测值数量
-
自回归系数\phi_i:表示过去观测值对当前值的影响程度
Python实现
模型诊断
-
自相关函数(ACF)和偏自相关函数(PACF)图
-
AIC(赤池信息准则)和BIC(贝叶斯信息准则)
-
残差分析:检查残差的白噪声性质
2. 移动平均(MA)模型
数学表示
优势
-
适合模拟短期波动
-
可以处理某些非平稳序列
-
对异常值的敏感性较低
局限性
-
无法捕捉长期趋势
-
参数估计可能较为复杂
-
不适用于具有明显趋势或季节性的数据
适用场景
-
金融市场的短期波动分析
-
质量控制中的过程监控
-
信号处理中的噪声滤除
参数解释
-
q:移动平均阶数,表示模型考虑的过去白噪声误差项数量
-
移动平均系数\theta_i:表示过去白噪声误差对当前值的影响程度
Python实现
模型诊断
-
ACF和PACF图分析
-
残差的正态性检验
-
Ljung-Box测试检验残差的独立性
3、自回归移动平均(ARMA)模型
数学表示
优势
-
比单纯的AR或MA模型更灵活
-
可以描述更复杂的时间序列模式
-
在许多实际应用中表现良好
局限性
-
假设时间序列是平稳的
-
参数估计可能较为复杂
-
可能存在模型识别的困难(选择合适的p和q值)
适用场景
-
经济指标预测
-
股票市场分析
-
工业生产过程控制
参数解释
-
p:自回归项的阶数
-
q:移动平均项的阶数
-
自回归系数\phi_i和移动平均系数\theta_j:分别表示过去观测值和过去误差对当前值的影响程度
Python实现
模型诊断
-
AIC和BIC准则用于模型选择
-
残差分析:检查残差的白噪声性质和正态性
-
过拟合测试:比较不同阶数模型的性能
4、自回归积分移动平均(ARIMA)模型
数学表示
优势
-
可以处理非平稳时间序列
-
能够捕捉复杂的时间序列模式
-
适用于具有趋势的数据
局限性
-
对异常值敏感
-
可能不适合处理强烈的季节性模式
-
参数选择可能较为复杂
适用场景
-
经济和金融数据分析,如GDP增长率预测
-
销售额预测
-
气象数据分析
参数解释
-
p:自回归项的阶数
-
d:差分阶数
-
q:移动平均项的阶数
Python实现
模型诊断
-
单位根检验:确保差分后的序列是平稳的
-
ACF和PACF图分析:辅助确定p和q的值
-
残差分析:检查残差的独立性和正态性
-
预测性能评估:使用均方根误差(RMSE)或平均绝对误差(MAE)等指标
扩展和变体
-
季节性ARIMA(SARIMA):引入季节性成分
-
ARIMAX:包含外生变量的ARIMA模型
-
分数阶ARIMA:允许非整数阶差分
实施注意事项
-
数据预处理:处理缺失值和异常值
-
模型选择:使用网格搜索或信息准则(如AIC、BIC)选择最佳参数
-
模型验证:使用交叉验证或滚动预测评估模型性能
-
定期重估:在新数据可用时更新模型参数
5、季节性自回归积分移动平均(SARIMA)模型
数学表示
优势
-
可以处理具有季节性模式的时间序列
-
能够捕捉复杂的时间依赖结构
-
适用于多种具有周期性的数据
局限性
-
模型复杂度高,参数估计可能困难
-
需要较长的时间序列才能得到可靠的季节性估计
-
可能对异常值敏感
适用场景
-
季节性销售数据预测
-
旅游业客流量分析
-
能源消耗预测
参数解释
-
p, d, q:非季节性ARIMA阶数
-
P, D, Q:季节性ARIMA阶数
-
m:季节性周期长度
Python实现
from statsmodels.tsa.statespace.sarimax import SARIMAX from random import random生成示例数据
data = [x + random() for x in range(1, 100)]
拟合SARIMA模型
model = SARIMAX(data, order=(1, 1, 1), seasonal_order=(1, 1, 1, 12))
model_fit = model.fit(disp=False)进行预测
yhat = model_fit.predict(len(data), len(data))
print(yhat)
模型诊断
-
季节性和趋势分解
-
ACF和PACF图分析(考虑季节性滞后)
-
AIC和BIC用于模型选择
-
残差分析:检查季节性残差的白噪声性质
6、具有外生回归量的季节性自回归积分移动平均(SARIMAX)模型
数学表示
优势
-
可以纳入额外的解释变量
-
提高预测精度,特别是当外生变量与因变量高度相关时
-
能够捕捉复杂的时间依赖结构和外部影响
局限性
-
模型复杂度更高,可能面临过拟合风险
-
需要准确预测外生变量才能进行长期预测
-
参数估计和模型选择更为复杂
适用场景
-
考虑天气因素的能源需求预测
-
包含经济指标的销售预测
-
考虑多个影响因素的金融市场分析
参数解释
-
外生变量的系数\beta
Python实现
from statsmodels.tsa.statespace.sarimax import SARIMAX from random import random生成示例数据
data1 = [x + random() for x in range(1, 100)]
data2 = [x + random() for x in range(101, 200)] # 外生变量拟合SARIMAX模型
model = SARIMAX(data1, exog=data2, order=(1, 1, 1), seasonal_order=(1, 1, 1, 12))
model_fit = model.fit(disp=False)进行预测
exog2 = [200 + random()] # 用于预测的外生变量值
yhat = model_fit.predict(len(data1), len(data1), exog=[exog2])
print(yhat)
模型诊断
-
外生变量的显著性检验
-
多重共线性检查
-
预测性能评估:比较包含和不包含外生变量的模型
7. 向量自回归(VAR)模型
数学表示
优势
-
可以捕捉多个变量之间的相互作用
-
允许进行系统的冲击响应分析
-
适用于预测相互关联的时间序列
局限性
-
参数数量随变量数量的增加而迅速增加
-
假设变量之间的关系是线性的
-
可能面临过度参数化的问题
适用场景
-
宏观经济指标分析
-
金融市场不同资产类别之间的相互影响研究
-
多维度销售数据预测
参数解释
-
p:滞后阶数
-
k:变量数量
-
系数矩阵A_i:表示不同变量之间的相互影响
Python实现
from statsmodels.tsa.vector_ar.var_model import VAR from random import random生成示例多变量数据
data = list()
for i in range(100):
v1 = i + random()
v2 = v1 + random()
row = [v1, v2]
data.append(row)拟合VAR模型
model = VAR(data)
model_fit = model.fit()进行预测
yhat = model_fit.forecast(model_fit.y, steps=1)
print(yhat)
模型诊断
-
Granger因果检验:确定变量间的因果关系
-
脉冲响应函数分析:评估一个变量的冲击对其他变量的影响
-
预测误差方差分解:分析每个变量对预测误差的贡献
-
模型稳定性检查:确保所有特征根位于单位圆内
8、向量自回归移动平均(VARMA)模型
数学表示
优势
-
比VAR模型更灵活,可以捕捉更复杂的动态结构
-
可能比VAR模型更简洁(在某些情况下)
-
适用于具有移动平均特性的多变量时间序列
局限性
-
参数估计复杂,可能存在识别问题
-
计算成本高,特别是对于高维系统
-
模型选择和诊断更为复杂
适用场景
-
复杂的经济系统建模
-
金融市场多资产收益率分析
-
多变量工业过程控制
参数解释
-
p:自回归阶数
-
q:移动平均阶数
-
系数矩阵A_i和B_j:分别表示自回归和移动平均部分的影响
Python实现
from statsmodels.tsa.statespace.varmax import VARMAX from random import random生成示例多变量数据
data = list()
for i in range(100):
v1 = random()
v2 = v1 + random()
row = [v1, v2]
data.append(row)拟合VARMA模型
model = VARMAX(data, order=(1, 1))
model_fit = model.fit(disp=False)进行预测
yhat = model_fit.forecast()
print(yhat)
模型诊断
-
多变量Ljung-Box检验:检查残差的白噪声性质
-
信息准则(如AIC、BIC)用于模型选择
-
交叉相关函数(CCF)分析:检查变量间的相关性
9、具有外生回归量的向量自回归移动平均(VARMAX)模型
数学表示
优势
-
可以纳入额外的解释变量,提高预测精度
-
能够捕捉内生变量和外生变量之间的复杂关系
-
适用于需要考虑外部因素影响的多变量时间序列分析
局限性
-
模型复杂度高,可能面临过拟合风险
-
需要准确预测外生变量才能进行长期预测
-
参数估计和模型选择更为复杂
适用场景
-
宏观经济预测(考虑政策变量)
-
多产品销售预测(考虑营销支出)
-
金融市场分析(考虑多个经济指标)
参数解释
-
r:外生变量的滞后阶数
-
系数矩阵C_k:表示外生变量对内生变量的影响
Python实现
from statsmodels.tsa.statespace.varmax import VARMAX from random import random生成示例多变量数据和外生变量
data = list()
exog_data = list()
for i in range(100):
v1 = random()
v2 = v1 + random()
data.append([v1, v2])
exog_data.append([i + random()])拟合VARMAX模型
model = VARMAX(data, exog=exog_data, order=(1, 1))
model_fit = model.fit(disp=False)进行预测
exog_forecast = [[100 + random()]]
yhat = model_fit.forecast(exog=exog_forecast)
print(yhat)
模型诊断
-
外生变量的显著性检验
-
格兰杰因果检验:检查外生变量对内生变量的因果关系
-
预测性能评估:比较包含和不包含外生变量的模型
10、简单指数平滑(SES)模型
数学表示
优势
-
计算简单,易于理解和实现
-
对最近的观测值给予更高的权重
-
适用于短期预测
局限性
-
不适用于具有明显趋势或季节性的数据
-
对初始值的选择敏感
-
可能无法捕捉复杂的时间序列模式
适用场景
-
短期需求预测
-
金融市场短期波动预测
-
稳定性较高的时间序列预测
参数解释
-
\alpha:平滑参数,控制新观测值的权重
Python实现
模型诊断
-
残差分析:检查残差的随机性和正态性
-
预测误差评估:使用MAE、MSE等指标
-
参数稳定性检查:评估不同\alpha值对预测的影响
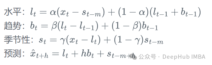
11、Holt-Winters指数平滑(HWES)模型
数学表示
优势
-
可以处理具有趋势和季节性的数据
-
对最近的观测值给予更高的权重
-
适用于中短期预测
局限性
-
对异常值敏感
-
可能无法捕捉非线性趋势
-
需要较长的历史数据来估计季节性成分
适用场景
-
季节性销售预测
-
能源需求预测
-
旅游业客流量预测
参数解释
-
\alpha:水平平滑参数
-
\beta:趋势平滑参数
-
\gamma:季节性平滑参数
Python实现
from statsmodels.tsa.holtwinters import ExponentialSmoothing from random import random生成示例数据
data = [x + 10*sin(x/5) + random() for x in range(1, 100)]
拟合Holt-Winters模型
model = ExponentialSmoothing(data, seasonal_periods=12, trend=‘add’, seasonal=‘add’)
model_fit = model.fit()进行预测
yhat = model_fit.predict(len(data), len(data))
print(yhat)
模型诊断
-
残差分析:检查残差的随机性、正态性和自相关性
-
预测误差评估:使用MAE、MAPE等指标
-
参数稳定性检查:评估不同初始值对预测的影响
模型比较
复杂度递增
-
最简单:SES < AR/MA < ARMA < ARIMA
-
中等复杂:SARIMA < SARIMAX
-
最复杂:VAR < VARMA < VARMAX
单变量 vs 多变量
-
单变量模型:AR, MA, ARMA, ARIMA, SARIMA, SARIMAX, SES, HWES
-
多变量模型:VAR, VARMA, VARMAX
处理能力
-
趋势:ARIMA, SARIMA, SARIMAX, HWES
-
季节性:SARIMA, SARIMAX, HWES
-
外生变量:SARIMAX, VARMAX
计算效率
-
高效:SES, AR, MA
-
中等:ARMA, ARIMA, VAR
-
计算密集:SARIMA, SARIMAX, VARMA, VARMAX
预测范围
-
短期预测:SES, AR, MA, ARMA
-
中长期预测:ARIMA, SARIMA, VAR, HWES
-
条件长期预测:SARIMAX, VARMAX(依赖外生变量的准确预测)
如何选择
-
数据特征分析:
-
平稳性:非平稳数据考虑ARIMA或其变体
-
季节性:存在明显季节性模式选择SARIMA或HWES
-
多变量关系:考虑VAR系列模型
-
预测目标:
-
短期预测:可以考虑较简单的模型如AR、MA或SES
-
长期预测:ARIMA、SARIMA或VARMAX可能更合适
-
计算资源:
-
有限资源:优先考虑计算效率高的模型
-
充足资源:可以尝试更复杂的模型或集成方法
-
解释性需求:
-
高解释性要求:线性模型如AR、ARIMA通常更易解释
-
性能优先:可以考虑非线性或机器学习方法
-
外部因素影响:
-
存在已知外部影响因素:考虑SARIMAX或VARMAX
-
数据量:
-
大数据集:可以考虑更复杂的模型或深度学习方法
-
小数据集:简单模型如SES或AR可能更稳定



