Softmax及其替代方案的特点与应用

本文总结了Softmax及其变体的性质与应用,探讨其在概率分布构建中的重要性与挑战。

原文标题:通向概率分布之路:盘点Softmax及其替代品

原文作者:数据派THU

冷月清谈:

本文回顾了Softmax的基本定义及其重要性质,如单调性和不变性,探讨了Softmax在深度学习中用于概率分布构建的重要性。文章详细对比了多种Softmax的变体,包括Margin Softmax、Taylor Softmax、Sparse Softmax等,分析了这些替代方案在特定场景下的优势和局限性。此外,讨论了如何通过不同损失函数优化模型性能,尤其是交叉熵损失的应用,以及如何应对在特定任务(如长尾分类和稀疏性)中Softmax表现不佳的问题。最后,文章提出了新型的概率分布构建方法Perturb Max,并呼应了大数据及深度学习领域的最新发展。

怜星夜思:

1、在何种场景下使用Softmax可能会导致模型过度自信?
2、Softmax与其他概率分布近似方法相比,有哪些优缺点?
3、在训练模型时,如何选择合适的损失函数?

原文内容

本文约7000字,建议阅读10分钟
在这篇文章中,我们将简单总结一下 Softmax 的相关性质,并盘点和对比一下它的部分替代方案。

不论是在基础的分类任务中,还是如今无处不在的注意力机制中,概率分布的构建都是一个关键步骤。具体来说,就是将一个   维的任意向量,转换为一个   元的离散型概率分布。众所周知,这个问题的标准答案是 Softmax,它是指数归一化的形式,相对来说比较简单直观,同时也伴有很多优良性质,从而成为大部分场景下的“标配”。

尽管如此,Softmax 在某些场景下也有一些不如人意之处,比如不够稀疏、无法绝对等于零等,因此很多替代品也应运而生。在这篇文章中,我们将简单总结一下 Softmax 的相关性质,并盘点和对比一下它的部分替代方案。

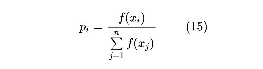
01 Softmax回顾

首先引入一些通用记号:  是需要转为概率分布的 n 维向量,它的分量可正可负,也没有限定的上下界。  定义为全体   元离散概率分布的集合,即
之所以标注   而不是  ,是因为约束   定义了   维空间中的一个   维子平面,再加上   的约束,  的集合就只是该平面的一个子集,即实际维度只有 

基于这些记号,本文的主题就可以简单表示为探讨   的映射,其中   我们习惯称之为 Logits 或者 Scores。

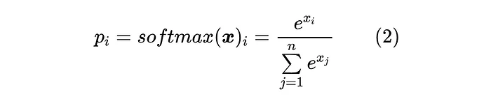
02 基本定义

Softmax 的定义很简单:
Softmax 的来源和诠释都太多了,比如能量模型、统计力学或者单纯作为   的光滑近似等,所以我们很难考证它的最早出处,也不去做这个尝试了。很多时候我们也会加上一个温度参数,即考虑  ,但 tau 本身也可以整合到   的定义之中,因此这里不特别分离出   参数。

Softmax 的分母我们通常记为  ,它的对数就是大多数深度学习框架都自带的   运算,他它是   的一个光滑近似:

当   取1时,就可以写出   方差越大近似程度越高,更进一步的讨论可以参考《寻求一个光滑的最大值函数》[1]。

03 两点性质

除了将任意向量转换为概率分布外,Softmax 还满足两点性质

单调性意味着 Softmax 是保序的,  的最大值/最小值跟   的最大值/最小值相对应;不变性说的是   的每个分量都加上同一个常数,Softmax 的结果不变,这跟   的性质是一样的,即同样有 

因此,根据这两点性质我们可以得出,Softmax实际是   一个光滑近似(更准确来说是   的光滑近似),更具体地我们有
这大概就是 Softmax 这个名字的来源。注意不要混淆了,Softmax 是   而不是   的光滑近似,  的光滑近似是   才对。

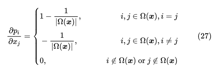
04 梯度计算

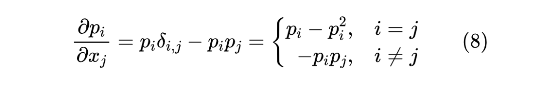
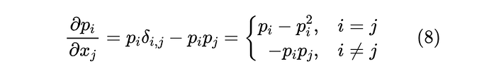
对于深度学习来说,了解一个函数的性质重要方式之一是了解它的梯度,对于 Softmax,我们在《从梯度最大化看Attention的Scale操作》曾经算过:


这样排列成的矩阵也称为 Softmax 的雅可比矩阵(Jacobian Matrix)[2],它的 L1 范数有一个简单的形式


当   是 one hot 分布时,上式等于 0,这意味着 Softmax 的结果越接近 one hot,它的梯度消失现象越严重,所以至少初始化阶段,我们不能将 Softmax 初始化得接近 one hot。同时上式最右端也联系到了 Rényi 熵的概念,它跟常见的香侬熵类似。

05 参考实现

Softmax 的直接实现很简单,直接取   然后归一化就行,Numpy 的参考代码为:

  
def softmax(x):
    y = np.exp(x)
    return y / y.sum()

  

然而,如果  中存在较大的分量,那么算  时很容易溢出,因此我们通常都要利用 Softmax 的不变性,先将每个分量减去所有分量的最大值,然后再算 Softmax,这样每个取  的分量都不大于 0,确保不会溢出:


 
def softmax(x):
y = np.exp(x - x.max())
    return y / y.sum()


06 损失函数

构建概率分布的主要用途之一是用于构建单标签多分类任务的输出,即假设有一个   分类任务,  是模型的输出,那么我们希望通过   来预测每个类的概率。为了训练这个模型,我们需要一个损失函数,假设目标类别是  ,常见的选择是交叉熵损失:

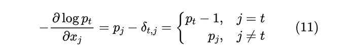
我们可以求得它的梯度:


注意   是给定的,所以   实际表达的是目标分布  ,而全体   就是   本身,所以上式可以更直观地写成:

也就是说,它的梯度正好是目标分布与预测分布之差,只要两者不相等,那么梯度就一直存在,优化就可以持续下去,这是交叉熵的优点。当然,某些情况下这也是缺点,因为 Softmax 只有在   才会得到 one hot,换言之正常情况下都不会出现 one hot,即优化一直不会完全停止,那么就有可能导致过度优化,这也是后面的一些替代品的动机。

除了交叉熵之外,还有其他一些损失可用,比如  ,这可以理解为准确率的光滑近似的相反数,但它可能会有梯度消失问题,所以它的优化效率往往不如交叉熵,一般只适用于微调而不是从零训练,更多讨论可以参考《如何训练你的准确率?》。

07 Softmax变体

介绍完 Softmax,我们紧接着总结一下本博客以往讨论过 Softmax 的相关变体工作,比如 Margin Softmax、Taylor Softmax、Sparse Softmax 等,它们都是在 Softmax 基础上的衍生品,侧重于不同方面的改进,比如损失函数、、稀疏性、长尾性等。


08 Margin Softmax

首先我们介绍起源于人脸识别的一系列 Softmax 变体,它们可以统称为 Margin Softmax,后来也被应用到 NLP 的 Sentence Embedding 训练之中,本站曾在《基于GRU和am-softmax的句子相似度模型》[3] 讨论过其中的一个变体 AM-Softmax,后来则在《从三角不等式到Margin Softmax》有过更一般的讨论。

尽管 Margin Softmax 被冠以 Softmax 之名,但它实际上更多是一种损失函数改进。以 AM-Softmax 为例,它有两个特点:第一,以   形式构造 Logits,即  的形式,此时的温度参数   是必须的,因为单纯的   值域为  ,不能拉开类概率之间的差异;第二,它并不是简单地以   为损失,而是做了加强:

直观来看,就是交叉熵希望   是   所有分量中最大的一个,而 AM-Softmax 则不仅希望   最大,还希望它至少比第二大的分量多出  ,这里的   就称为 Margin。

为什么要增加对目标类的要求呢?这是应用场景导致的。刚才说了,Margin Softmax 起源于人脸识别,放到 NLP 中则可以用于语义检索,也就是说它的应用场景是检索,但训练方式是分类。如果单纯用分类任务的交叉熵来训练模型,模型编码出来的特征不一定能很好地满足检索要求,所以要加上 Margin 使得特征更加紧凑一些。


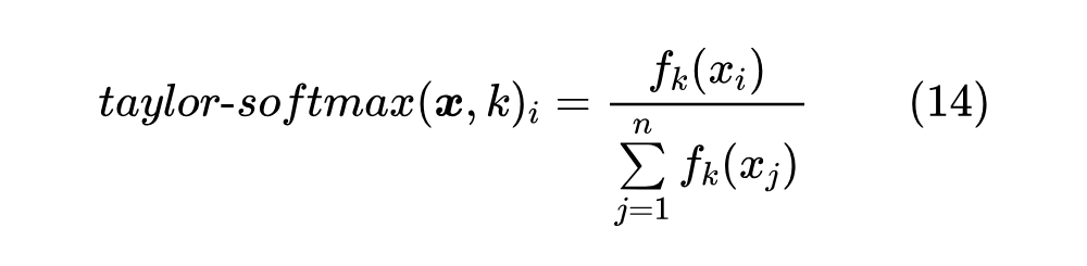
09  Taylor Softmax

接下来要介绍的,是在《exp(x)在x=0处的偶次泰勒展开式总是正的》讨论过的 Taylor Softmax,它利用了   的泰勒展开式的一个有趣性质:
对于任意实数   及偶数   ,总有  ,即   在   处的偶次泰勒展开式总是正的。

利用这个恒正性,我们可以构建一个 Softmax 变体( 是任意偶数):

由于是基于   的泰勒展开式构建的,所以在一定范围内 Taylor Softmax 与 Softmax 有一定的近似关于,某些场景下可以用 Taylor Softmax 替换  Softmax。那么 Taylor Softmax 有什么特点呢?答案是更加长尾,因为 Taylor Softmax 是多项式函数归一化,相比指数函数衰减得更慢,所以对于尾部的类别,Taylor Softmax 往往能够给其分配更高的概率,可能有助于缓解 Softmax 的过度自信现象。


Taylor Softmax 的最新应用,是用来替换 Attention 中的 Softmax,使得原本的平方复杂度降低为线性复杂度,相关理论推导可以参考《Transformer升级之路:作为无限维的线性Attention》[4]。


该思路的最新实践是一个名为 Based 的模型,它利用   来线性化 Attention,声称比 Attention 高效且比 Mamba 效果更好,详细介绍可以参考博客《Zoology(Blogpost 2): Simple, Input-Dependent, and Sub-Quadratic Sequence Mixers》[5] 和《BASED: Simple linear attention language models balance the recall-throughput tradeoff》[6]。

10 Sparse Softmax

Sparse Softmax 是笔者参加 2020 年法研杯时提出的一个简单的 Softmax 稀疏变体,首先发表在《SPACES:“抽取-生成”式长文本摘要(法研杯总结)》,后来也补充了相关实验,写了篇简单的论文《Sparse-softmax: A Simpler and Faster Alternative Softmax Transformation》[7]。

我们知道,在文本生成中,我们常用确定性的 Beam Search 解码,或者随机性的 TopK/TopP Sampling 采样,这些算法的特点都是只保留了预测概率最大的若干个 Token 进行遍历或者采样,也就等价于将剩余的 Token 概率视为零,而训练时如果直接使用 Softmax 来构建概率分布的话,那么就不存在绝对等于零的可能,这就让训练和预测出现了不一致性。Sparse Softmax 就是希望能处理这种不一致性,思路很简单,就是在训练的时候也把 Top-  以外的 Token 概率置零:


其中   是将   从大到小排列后前   个元素的原始下标集合。简单来说,就是在训练阶段就进行与预测阶段一致的阶段操作。这里的   选取方式也可以按照 Nucleus Sampling 的 Top-  方式来操作,看具体需求而定。但要注意的是,Sparse Softmax 强行截断了剩余部分的概率,意味着这部分 Logits 无法进行反向传播了,因此 Sparse Softmax 的训练效率是不如 Softmax 的,所以它一般只适用于微调场景,而不适用于从零训练。

11 Perturb Max

这一节我们介绍一种新的构建概率分布的方式,这里称之为 Perturb Max,它是 Gumbel Max 的一般化,首次介绍于《从重参数的角度看离散概率分布的构建》,此外在论文《EXACT: How to Train Your Accuracy》[8] 也有过相关讨论,至于更早的出处笔者则没有进一步考究了。


12 问题反思

首先我们知道,构建一个   的映射并不是难事,只要   是  (实数到非负实数)的映射,如  ,那么只需要让

就是满足条件的映射了。如果要加上“两点性质” [9] 中的“单调性”呢?那么也不难,只需要保证   的单调递增函数,这样的函数也有很多,比如  。但如果再加上“不变性”呢?我们还能随便写出一个满足不变性的   映射吗?(反正我不能)

可能有读者疑问:为什么非要保持单调性和不变性呢?的确,单纯从拟合概率分布的角度来看,这两点似乎都没什么必要,反正都是“力大砖飞”,只要模型足够大,那么没啥不能拟合的。但从 “Softmax 替代品”这个角度来看,我们希望新定义的概率分布同样能作为   的光滑近似,那么就要尽可能多保持跟   相同的性质,这是我们希望保持单调性和不变性的主要原因。

13 Gumbel Max

Perturb Max 借助于Gumbel Max 的一般化来构造这样的一类分布。不熟悉 Gumbel Max 的读者,可以先到《漫谈重参数:从正态分布到Gumbel Softmax》[10] 了解一下 Gumbel Max。简单来说,Gumbel Max 就是发现:

怎么理解这个结果呢?首先,这里的   是指   的每个分量都是从 Gumbel 分布独立 [11] 重复采样出来的;接着,我们知道给定向量  ,本来   是确定的结果,但加了随机噪声   之后,  的结果也带有随机性了,于是每个   都有自己的概率;最后,Gumbel Max 告诉我们,如果加的是 Gumbel 噪声,那么i的出现概率正好是 

Gumbel Max 最直接的作用,就是提供了一种从分布   中采样的方式,当然如果单纯采样还有更简单的方法,没必要“杀鸡用牛刀”。Gumbel Max 最大的价值是“重参数(Reparameterization)”,它将问题的随机性从带参数   的离散分布转移到了不带参数的   上,再结合 Softmax 是   的光滑近似,我们得到   是 Gumbel Max 的光滑近似,这便是 Gumbel Softmax,是训练“离散采样模块中带有可学参数”的模型的常用技巧。

14 一般噪声

Perturb Max 直接源自 Gumbel Max:既然 Softmax 可以从 Gumbel 分布中导出,那么如果将 Gumbel 分布换为一般的分布,比如正态分布,不就可以导出新的概率分布形式了?也就是说直接定义


重复 Gumbel Max 的推导,我们可以得到

其中   是   的累积概率函数。对于一般的分布,哪怕是简单的标准正态分布,上式都很难得出解析解,所以只能数值估计。为了得到确定性的计算结果,我们可以用逆累积概率函数的方式进行均匀采样,即先从   均匀选取  ,然后通过求解   来得到 

从 Perturb Max 的定义或者最后   的形式我们都可以断言 Perturb Max 满足单调性和不变性,这里就不详细展开了。那它在什么场景下有独特作用呢?说实话,还真不知道,《EXACT: How to Train Your Accuracy》[8] 一文用它来构建新的概率分布并优化准确率的光滑近似,但笔者自己的实验显示没有特别的效果。个人感觉,可能在某些需要重参数的场景能够表现出特殊的作用吧。

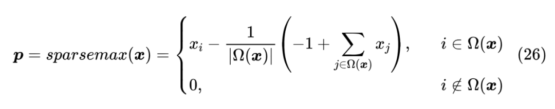
15 Sparsemax

接下来要登场的是名为 Sparsemax 的概率映射,出自 2016 年的论文《From Softmax to Sparsemax: A Sparse Model of Attention and Multi-Label Classification》[12],它跟笔者提出的 Sparse Softmax 一样,都是面向稀疏性的改动,但作者的动机是用在 Attention 中提供更好的可解释性。跟 Sparse Softmax 直接强行截断 Top-  个分量不同,Sparsemax 提供了一个更为自适应的稀疏型概率分布构造方式。

16 基本定义

原论文将 Sparsemax 定义为如下优化问题的解:

通过拉格朗日乘数法就可以求出精确解的表达式。然而,这种方式并不直观,而且也不容易揭示它跟 Softmax 的联系。下面提供笔者构思的一种私以为更加简明的引出方式。

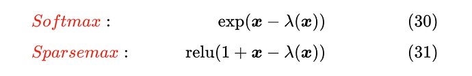
首先,我们可以发现,Softmax 可以等价地表示为


其中   是使得   的各分量之和为 1 的常数,对于 Softmax 我们可以求出 

然后,在 Taylor Softmax 那一节我们说了,  的偶次泰勒展开总是正的,因此可以用偶次泰勒展开来构建 Softmax 变体。但如果是奇数次呢?比如  ,它并不总是非负的,但我们可以加个   强行让它变成非负的,即  ,用这个近似替换掉式(20)的  ,就得到了 Sparsemax:


其中   依然是使得   的各分量之和为1的常数,并且常数 1 也可以整合到   之中,所以上式也等价于

17 求解算法

到目前为止,Sparsemax 还只是一个形式化的定义,因为   的具体计算方法尚不清楚,这就是本节需要探讨的问题。不过即便如此,单靠这个定义我们也不难看出 Sparsemax 满足单调性和不变性两点性质,如果还觉得不大肯定的读者,可以自行尝试证明一下它。

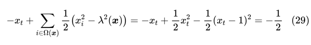
现在我们转向   的计算。不失一般性,我们假设   各分量已经从大到小排序好,即  ,接着我们不妨先假设已知  ,那么很显然
根据   的定义,我们有
这就可以求出  。当然,我们无法事先知道  ,但我们可以遍历  ,利用上式求一遍  ,取满足 ,这也可以等价地表示为求满足   的最大的   ,然后返回对应的

参考实现:


  
def sparsemax(x):
x_sort = np.sort(x)[::-1]
x_lamb = (np.cumsum(x_sort) - 1) / np.arange(1, len(x) + 1)
lamb = x_lamb[(x_sort >= x_lamb).argmin() - 1]
return np.maximum(x - lamb, 0)

 

18 梯度计算

方便起见,我们引入记号
那么可以写出
从这个等价形式可以看出,跟 Sparse Softmax 一样,Sparsemax 同样也只对部分类别有梯度,可以直接算出雅可比矩阵:


由此可以看出,对于在   里边的类别,Sparsemax 倒是不会梯度消失,因为此时它的梯度恒为常数,但它总的梯度大小,取决于   的元素个数,它越少则越稀疏,意味着梯度也越稀疏。

19 损失函数

最后我们来讨论 Sparsemax 作为分类输出时的损失函数。比较直观的想法就是跟 Softmax 一样用交叉熵  ,但 Sparsemax 的输出可能是严格等于0的,所以为了防止   错误,还要给每个分量都加上  ,最终的交叉熵形式为  ,但这一来有点丑,二来它还不是凸函数,所以并不是一个理想选择。

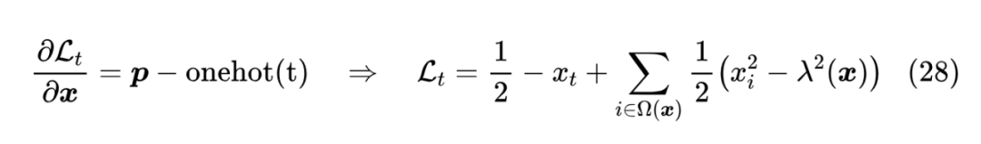
事实上,交叉熵在 Softmax 中之所以好用,是因为它的梯度恰好有(12)的形式,所以对于 Sparsemax,我们不妨同样假设损失函数的梯度为  ,然后反推出损失函数该有的样子,即:

从右往左验证比较简单,从左往右推可能会有些困难,但不多,反复拼凑一下应该就能出来了。第一个   常数是为了保证损失函数的非负性,我们可以取一个极端来验证一下:假设优化到完美,那么   应该也是 one hot,此时  ,并且  ,于是
所以要多加上常数 

20 Entmax-α

Entmax-  是 Sparsemax 的一般化,它的动机是 Sparsemax 往往会过度稀疏,这可能会导致学习效率偏低,导致最终效果下降的问题,所以 Entmax-  引入了   参数,提供了 Softmax( )到Sparsemax( )的平滑过度。

Entmax-  出自论文《Sparse Sequence-to-Sequence Models》[13],作者跟 Sparsemax 一样是 Andre F. T. Martins,这位大佬围绕着稀疏 Softmax、稀疏 Attention 做了不少工作,有兴趣的读者可以在他的主页 [14] 查阅相关工作。

21 基本定义

跟 Sparsemax 一样,原论文将 Entmax-  定义为类似(19)的优化问题的解,但这个定义涉及到 Tsallis entropy [15] 的概念(也是 Entmax 的 Ent 的来源),求解还需要用到拉格朗日乘数法,相对来说比较复杂,这里不采用这种引入方式。

我们的介绍同样是基于上一节的近似  ,对于 Softmax 和 Sparsemax,我们有

Sparsemax 太稀疏,背后的原因也可以理解为   近似精度不够高,我们可以从中演化出更高精度的近似

只要  ,那么最右端就是一个比   更好的近似(想想为什么)。利用这个新近似,我们就可以构建

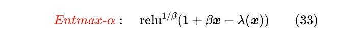
这里   是为了对齐原论文的表达方式,事实上用   表示更简洁一些。同样地,常数 1 也可以收入到   定义之中,所以最终定义可以简化为

22 求解算法

对于一般的  ,求解   是比较麻烦的事情,通常只能用二分法求解。

首先我们记  ,并且不失一般性假设  ,然后我们可以发现 Entmax-  是满足单调性和不变性的,借助不变性我们可以不失一般性地设  (如果不是,每个   都减去   即可)。

现在可以检验,当   时,  的所有分量之和大于等于 1,当   时,  的所有分量之和等于 0,所以最终能使分量之和等于 1 的   必然在   内,然后我们就可以使用二分法来逐步逼近最优的 

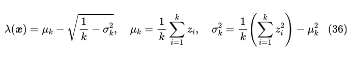
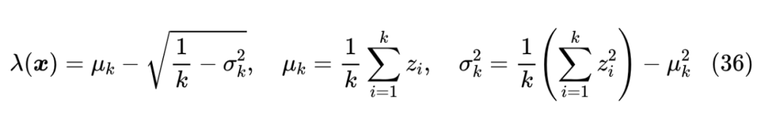
对于某些特殊的  ,我们可以得到一个求精确解的算法。Sparsemax 对应  ,我们前面已经给出了求解过程,另外一个能给解析解的例子是  ,这也是原论文主要关心的例子,如果不加标注,那么 Entmax 默认就是 Entmax-1.5。跟 Sparsemax 一样的思路,我们先假设已知  ,于是有
这只不过是关于   的一元二次方程,可以解得
当我们无法事先知道   时,可以遍历  ,利用上式求一遍  ,取满足   那一个  ,但注意这时候不等价于求满足   的最大的 

完整的参考实现:

def entmat(x):
x_sort = np.sort(x / 2)[::-1]
k = np.arange(1, len(x) + 1)
x_mu = np.cumsum(x_sort) / k
x_sigma2 = np.cumsum(x_sort**2) / k  - x_mu**2
x_lamb = x_mu - np.sqrt(np.maximum(1. / k - x_sigma2, 0))
x_sort_shift = np.pad(x_sort[1:], (0, 1), constant_values=-np.inf)
lamb = x_lamb[(x_sort > x_lamb) & (x_lamb > x_sort_shift)]
    return np.maximum(x / 2 - lamb, 0)**2

23 其他内容

Entmax-  的梯度跟 Sparsemax 大同小异,这里就不展开讨论了,读者自行推导一下或者参考原论文就行。至于损失函数,同样从梯度   出发反推出损失函数也是可以的,但其形式有点复杂,有兴趣了解的读者可以参考原论文《Sparse Sequence-to-Sequence Models》[13] 以及《Learning with Fenchel-Young Losses》[16]。

不过就笔者看来,直接用   算子来定义损失函数更为简单通用,可以避免求原函数的复杂过程:
这里的   是向量内积,这样定义出来的损失,其梯度正好是  ,但要注意这个损失函数只有梯度是有效的,它本身的数值是没有参考意义的,比如它可正可负,也不一定越小越好,所以要评估训练进度和效果的话,得另外建立指标(比如交叉熵或者准确率)。

24 文章小结

本文简单回顾和整理了 Softmax 及其部分替代品,其中包含的工作有 Softmax、Margin Softmax、Taylor Softmax、Sparse Softmax、Perturb Max、Sparsemax、Entmax-  的定义、性质等内容。


参考文献

[1] https://kexue.fm/archives/3290
[2] https://en.wikipedia.org/wiki/Jacobian_matrix_and_neterminant
[3] https://kexue.fm/archives/5743
[4] https://kexue.fm/archives/8601
[5] https://hazyresearch.stanford.edu/blog/2023-12-11-zoology2-based
[6] https://www.together.ai/blog/based
[7] https://papers.cool/arxiv/2112.12433
[8] https://papers.cool/arxiv/2205.09615
[9] https://kexue.fm/archives/10145#两点性质
[10] https://kexue.fm/archives/6705
[11] https://en.wikipedia.org/wiki/Gumbel_nistribution
[12] https://papers.cool/arxiv/1602.02068
[13] https://papers.cool/arxiv/1905.05702
[14] https://andre-martins.github.io
[15] https://en.wikipedia.org/wiki/Tsallis_entropy
[16] https://papers.cool/arxiv/1901.02324

编辑:王菁



关于我们

数据派THU作为数据科学类公众号,背靠清华大学大数据研究中心,分享前沿数据科学与大数据技术创新研究动态、持续传播数据科学知识,努力建设数据人才聚集平台、打造中国大数据最强集团军。




新浪微博:@数据派THU

微信视频号:数据派THU

今日头条:数据派THU


选择损失函数应考虑任务目标。对于多类分类任务,交叉熵是常用选择,但在稀疏情况下Sparsemax损失可能更优。

在处理长尾分布的数据集时,可以考虑使用一些自适应的损失函数,这样可以使模型对少数类有更好的学习表现。

此外,如果模型面临训练不稳定问题,可以尝试引入温度参数,以调节输出分布的平滑度,增强训练的可靠性。

Softmax简单易用,能提供良好的收敛性。但是它对异常值敏感,容易造成梯度消失。相比之下,Taylor Softmax可以缓解这个问题,因为它对尾部类别的处理更为平滑。

从应用角度看,Softmax的计算效率较高,但当需要稀疏结果时如推荐系统中,Sparsemax可能更适合,因为它可以提供更有效的稀疏性。

Softmax的一个缺点是可能在某些特定场景(如高维度数据)中产生数值不稳定问题,这时Taylor Softmax等变体可以更好地应对这种问题。

在多分类任务中,Softmax可能在一些类别上给出过高的预测概率。这在类别不平衡的场景中尤其明显,导致模型对少数类别过度自信,从而影响整体预测的可靠性。

比如在长尾分布问题中,Softmax可能因为数据稀缺导致某些罕见类别的概率过高。这种情况下,使用得到更稀疏结果的Sparsemax可能更有效。

模型在训练阶段可能学习到训练集中的偏见,导致在验证集上对某些少数类的过度自信标签。因此在这类情况下,考虑使用Margin Softmax来增加类别之间的区分度。