伽罗瓦理论的真面目

原文标题:?伽罗瓦理论究竟想干什么?

原文作者:图灵编辑部

冷月清谈:

**伽罗瓦理论的本质**

伽罗瓦理论揭示了域扩张(增加根号扩展根域)与群(排列变换方式)之间的对应关系,即群扩张对应域扩张。这个对偶关系由「基本定理」刻画:伽罗瓦群(域扩张对应的置换根的群)与中间域(域扩张中的子域)的子群之间存在一一对应关系,该关系保留群的性质(如正规性)。

复杂度的衡量

引入了商群的概念,度量群的「可解性」,即是否可以分解成交换群的子群的序列。可解群对应于有根式解的方程,不可解群对应于无法用根式解的方程。

五次方程的根式不可解性

证明了五次及以上方程的伽罗瓦群不可解,这正是根式解不存在的原因。这种不可解性源于群结构的稳定性,使得拆解(如群除法)变得困难。

超越根式解法的扩展

暗示存在超越根式解法的域扩张方法,例如雅可比函数。




怜星夜思:


1、在伽罗瓦理论中,什么决定了一个多项式方程能否用根式求解?
2、域扩张与群扩张之间的深刻联系是什么?
3、伽罗瓦理论是否仅限于研究方程?




原文内容




伽罗瓦理论是现代数学的主要发端之一。当天才少年用自创理论解决了代数方程的悬案,人们才逐渐意识到数学结构本身所隐含的对称性和抽象关系竟然具有如此强大的威力。通过后继者对高阶抽象和逻辑结构关系的不断探索,如今数学大厦不仅纵向高耸入云而且横向相互支撑顺畅贯通。本文将带读者领略那发生在190年前的灵光闪现……

撰文 张和持

偶尔,当我被袁隆平院士喂得太饱的时候,会无聊地去想:若现代的知识穿越回古代,那将造成多么可怕的影响。那有可能是助诸葛亮北伐成功的100名火箭飞行兵,也可能是令赵国取胜长平之战的空降方便面。但要是真能穿越的话,希望不会把数学家送过去——等着他们的,可能是尼尔斯·阿贝尔和埃瓦里斯特·伽罗瓦的命运——他们二人的工作过于超前,以至于他们英年早逝十多年,后人才从尘封的论文中发现那惊人的价值。

Évariste Galois
在那个年代,数学家的工作主要还是围绕数字的。即使使用变量的代数,也是为了得到具体的数值结果。可想而知,即便是高斯那样的数学泰斗,面对伽罗瓦的满篇抽象符号,也打回了他的论文。据说伽罗瓦死前遭人暗算,不得不参加一场必死的决斗。生命和学术生涯即将在含苞中零落,绝望中的他奋笔疾书,在最后的时刻整理了自己的手稿,像海贼王一样把宝物留给了新的时代。

Niels Henrik Abel
今天的我们,处处享受着他们的成果。计算机离不开代数,物理化学也离不开群论。或许在肃然起敬之余,你会望而却步。其实大可不必,今番我们便来还原一个简洁又优美的伽罗瓦理论
伽罗瓦和阿贝尔想解决的问题看起来很简单。小学我们学过一元一次方程
直接移项就可以得到
后来我们学了一元二次方程
凑平方法也可以容易地得到
继续,一元三次方程呢?是否也能这么容易解出来呢?
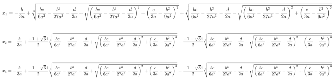
十六世纪的数学家尼科洛·塔尔塔利亚首先得到了通用的公式,我们就把它列出来看看有多复杂
对于方程
有三个根:
类的智慧的确可怕。不久之后,四次方程的公式也被人们发现了。四次方程的解如此复杂,以至于一页纸都不一定能写的下,这不禁让人怀疑,数学是否成为了繁琐和不便的代名词。
这也鞭策着那些相信努力就会收获的数学家,找出五次方程的解而扬名立万。可是令人费解的是,无论做多么精巧的代换,无论尝试怎样复杂的分解,总有一些方程死活解不出来。到了拉格朗日这一代,大多数人已经确信,五次方程是无法以现有方法解出来的了。他们发现,五次方程与四次,三次,二次方程是如此的不同,以至于之前管用的方法全都失效了。不过直到阿贝尔和伽罗瓦为止,都没有人能为这种似是而非的论断给出清晰又严格的证明。
这就是我们的问题:为什么有理系数的一元五次方程不能通过有限次的加、减、乘、除、开根号得到一般解?
为了搞清楚,为什么   以上的数字跟   如此不同,我们先来看一看   与   有何不同。对一元方程来说,要求解,只需要进行加减乘除运算即可,而加减乘除,并不会让有理数变成无理数。通常我们将有理数表示为   ,而有了对加减乘除封闭的性质,我们就可以把   称为有理数域。域的定义你就可以直接理解为:集合元素对加减乘除封闭。大家熟知的实数,复数也都是域。
为什么我们要谈封闭性?很简单,因为方程里面只含有加减乘除,要是不封闭了,那   就不是有理数,那这样   也就不是有理数了。显然,这是矛盾的。
那   呢?
比如说方程
很容易求出它的两个解是
这个解很显然不在   之内,那我们现在要把   扩大,使新的域正好包含上面的根,又不至于太大,以至于包含太多其他东西,即最小扩张。那么我们最终得到的就是这样一个集合:
这个域我们把它叫做   ,它是包含   在内的最小的域。你无聊可以验证一下,它对于加减乘除确实是封闭的。这里从   到   的过程,我们称之为域扩张。你可以把这里的域扩张理解为一个直角坐标,   轴上仍然是有理数,单位是   ,而   轴上就是   的倍数。这样平面上的每一点都可以代表   中的一个数。这样扩张的维数就是平面相对于   轴的维数,记作   。
当我们谈到可以用根式解方程的时候,我们其实是在说:我们可以将类似于   这样整数的整次根,加入到   中,以此作上述域扩张,使扩张后的域,包含方程的解。
那么到这里,问题就好理解了。从   到   的过程,其实用根式来扩张   的过程。可以想见,要是   次以上的方程不能这样扩张,自然就不能用根式解了。
怎么才能证明扩张无法实现呢?目前我们还没有什么思路去直接证明,但阿贝尔和伽罗瓦迎难而上。他们不约而同地注意到,方程的根具有奇妙的对称性。一般来说,如果一个图形具有复杂的对称性,那图形本身也就较为复杂。这给了他们启示:根的对称性是否意味着域扩张的复杂性呢?果不其然,这种对称性揭示了域扩张与群的子群之间优美的对偶,使得我们可以通过研究群的可解性来回答方程解的性质。
还是回到之前的方程
我们先不管解是什么。而是利用一个非常经典的结论:在复数域   中,   次方程定有   个根(包含类似   这样   的重根)。这是高斯在他的博士论文中首次证明的优美结论。这个结论的证明涉及的更多是复分析而不是代数,所以我们在这里不再提它。假设根是   ,那么就有
我们可以看到,这两个根相当地对称。即使我们交换一下   和   ,上述方程的形式也不会变化。这就启发我们在保持方程形式不变的情况下,对整个方程进行变换。假如说有这么一个函数   ,作用在扩张后的域(扩域)上,

图片不改变形式,就要求这个函数能保持加法和乘法,这表明   是一个同态,即是说

图片

而且要求不改变系数,这表明   将有理数映射到自身(固定   ),即使说
那么
从形式不变可以看出,   仍然是方程的解。但是这个方程一共就那两个解,所以   这个函数正好就是我们之前说的置换根的函数。在这个例子中,   只有两种可能——一是交换   ,即  ,另一种是恒同变化   ,即把任何数映射到自身。这些   有非常良好的性质
  1. 无论它们怎么组合,   的复合仍然属于这个集合;
  2. 不管施加怎样的变换,总有另一个变换可以让根回到初始状态;
  3. 存在   这么一个无而治的变换。
可以看到,   的组合,非常类似于数的乘法。但这是一种只有乘法没有加法的运算(当然你偏要把它的运算叫做加法也没什么区别,那样就没有乘法)。满足这样运算规律的集合,我们称之为群。上面的   构成的就是能改变域   内元素顺序的置换群,而且正好固定了   (将有理数映射到自身),而且没有固定   以外的元素(   固定所有元素,但   只固定了   ,这里我们自然应当取小的那个域,也就是   ,这时   称为群的固定域)。我们就把这样的扩张称为正规扩张(或伽罗瓦扩张),把   构成的群叫做伽罗瓦群   。在这个例子中,伽罗瓦群有   个元素(交换和恒同变换),而扩张的维数    也正好是   。可以证明,这两者是恒相等的。这就给了我们更多理由相信:伽罗瓦群对于描述域扩张至关重要
群   固定   ,那什么固定   呢?答案是   。  这个元素是   的子集。如果单看   这个集合的话,你会发现它也是一个群,是   的子群(也就是说是它的子集,自己又形成群)。在这个例子中,群  就只有这么一个子群。那么要是别的群有非   子群(或者叫非平凡子群,平凡子群指的就是   )呢?假如这样的子群存在,想必它固定的应该是介于   和   之间的某个域。我们这就来看一看。
方程   的三个根分别是

图片

显而易见,这里的域扩张是

图片

它对应的伽罗瓦群是   ,也就是图中   个数的所有置换,应该有   个元素,分别为 ,这个群相当于是三角形的所有对称操作,也就是说,将三角形翻转或旋转后,与原图形重合的所有操作。

图片来自WolframAlpha
下表(称为凯莱表)列出了   的乘法规律
图片受Wikipedia 启发
其中   代表旋转  ,   代表翻转。注意,   和   是不同的,可以通过画图来检验。这代表   是不可交换的(非阿贝尔群)。
另一种将群可视化的方法是凯莱图
图片受wikimedia 启发
有了上面这些工具,我们就可以着手,来找一找   的子群。只要挨个去掉其中的元素,再检查剩下的部分是否构成群就能搞定。我们将   的子群和   到   的扩张一并画在下图

图片来自Keith Conrad
这似乎太巧了:子群的结构和域扩张的结构完全相同。而这并不是巧合。再来一个例子:下图是域扩张   和它的伽罗瓦群   (   相当于是正方形旋转翻转的对称群)


图片来自Keith Conrad
结构仍然是一模一样。更加惊人的是,每一个子群,如   ,正好固定了它对应的域扩张:  。这震撼的对偶关系,正是伽罗瓦理论基本定理。上图中的域扩张并不都是正规扩张。伽罗瓦基本定理还表明,假如某个中间域是正规扩张,那么相应的子群就应该是正规子群:若   是   的子群,对于   ,则称   为   的正规子群,其中   表示   ,   类似,记作   。这个对偶关系,也正是两个”正规“的名字由来。
有了正规子群就可以定义   和   之间的除法(如果不是正规子群就不能定义)。  表示的,就是所有   这样的集合的集合,叫做商群——即,商群的每个元素都是   这样的集合(这种集合叫做陪集)。很容易定义商群上的乘法:  (想想为什么可以这样定义)。
比如说我们要计算   的商群   ,其中   表示由   生成的群:
G = S3, H = ⟨r⟩
我们圈出   的所有陪集,这里只有   和   自己
圈出陪集
这样,每一个陪集都是商群的元素
陪集收缩得到商群
这里我们没有严格数学语言的表述,也不想去抠证明的细节。但到此为止,证明的思路已经非常清晰了。
假如我们需要根式解,就是要由域   (一般来说这个   代表   )扩张到域   ,那么两者之间应该有中间域   ,其中每一个域   都是前一个域  在根式   (这个   有可能是   ,可能是   ,也可能是任何整数的整次根)基础上进行的正规扩张。由于是正规扩张,所以伽罗瓦群   应该有一系列正规子群

图片

出于一些不那么直观的原因,我们还要求每个商群   具有交换性(就是   ),满足上述两个条件的   被称为可解群。可以证明,方程根式可解性等价于对应的伽罗瓦群可解性。
那么这里我们就只需要看对应的伽罗瓦群了。经过复杂的步骤,可以证明,一般的   次方程,其伽罗瓦群为   阶置换群  (正好相当于把   个根进行排列!)。而   的置换群并不可解。
这样就证明了结论:  时方程没有根式解!
我们用   的例子来说明群的不可解性。根据可解群的定义,可以得到一个结论:可解群的子群都是可解群。这样我们就可以转而观察   的子群。  的子群只有   和平凡子群,其中   是指五阶交错群,其中的每一个置换,都是偶置换,即,可以分解为偶数个   和   交换的形式(比如说 这样置换)。相比   的  个元素,   只有一半:  个元素,很容易画出它的凯莱图:
  A 5 的凯莱图
即使我们不去严格分析,也能看出   没有正规子群:
例如,把红色线连接的小五边形看做子群(这是个   阶循环群),如果它是正规的,那么从一个红色五边形出发的所有蓝色线段,都必须进入同一个陪集,也就是最邻近的另一个红色五边形。可惜这些蓝色线都进入了不同的红色五边形。
事实上,这种每个局部小多边形都尽量与其他小多边形连接的结构,会使整体结构非常稳定而坚固,对群除法这种结构拆解工作自然就不够友好。神奇的是,如果在上图中的每个圆圈处放一个碳原子,它们将组成稳定的足球形分子“巴基球”,这个名字来源于建筑学家巴克明斯特·富勒,此人建造了世界上最大的足球形建筑物。
富勒的作品
1999年,物理学家在奥地利的实验室中向双缝发射了“巴基球”的分子束,并观察到了干涉现象。这使得“巴基球”成为了人类实验能观测到双缝干涉的最大分子。

图片
Buckminsterfullerene
再回到最初的问题。从以上的阐述,应该就能理解根式解不存在的原因了:根式的域扩张是有局限的。也就是说五次以上的方程其实并不是“无解”,只是根式扩张无法做到。那么是不是就应该有别的方法来进行域扩张呢?答案是肯定的。参见“雅可比   函数”。

注释

[1] Galois theory for non-mathematicians
[2] Emil Artin, Galois Theory


01


《数学女孩5:伽罗瓦理论》

作者:[日]结城浩

译者:陈冠贵


《数学女孩5:伽罗瓦理论》从鬼脚图讲起,结合二次方程式的求根公式、尺规作图、群和域等知识,最终带领读者进入伽罗瓦理论的世界,还原伽罗瓦短暂的一生中璀璨不朽的数学成就。整本书一气呵成,非常适合对数学感兴趣的初高中生以及成人阅读。


02


《数学女孩》(1-6)

作者:结城浩

译者:朱一飞等

日本数学会强力推荐,内容由浅入深,绝赞的数学科普书,在动人的故事中走近数学,在青春的浪漫中理解数学。


《数学女孩》系列以小说的形式展开,从基础数学到费马大定理、哥德尔不完备定理、随机算法、伽罗瓦理论、庞加莱猜想,重点描述一群年轻人探寻数学之美的过程。


方程对应的伽罗瓦群的可解性。可解群对应于可根式求解的方程,不可解群对应于不能根式求解的方程。

伽罗瓦理论在密码学、编码理论和算法设计等计算机科学领域也有应用。

伽罗瓦理论被用于研究域论,数论和代数几何等其他数学领域。

不,虽然伽罗瓦理论最初是为解决方程可解性而提出的,但它已扩展到更广泛的代数学领域。

群的扩张本质上可以看作是集合元素之间关系的扩张。而域扩张也可以视为集合内的元素的计算操作的扩张。两者之间的联系可以理解为在代数运算和集合操作之间的对应性。

方程的展开式和系数的代数性质。例如,三次方程和四次方程有简洁的根式解公式,而五次及以上方程则没有。不过这个答案偏离了伽罗瓦理论的范畴。

域扩张可以通过加根号的方式进行,而群扩张可以通过加入新的置换变换的方式进行。两者本质上都是增加新的元素和操作,从而扩展原有的域或群。从这个角度看,它们之间的联系就在于拓展操作的统一性。

域扩张是一些量上的扩张,而群扩张是一种性质上的扩张。它们的联系在于,域扩张的置换群和域的子域的群子群之间存在一一对应,保持着正规性的性质。

根域和扩张域的域扩张结构。如果扩张域的伽罗瓦群不可解,那么方程就没有根式解。