原文标题:从RLHF到DPO再到TDPO,大模型对齐算法已经是「token-level」
原文作者:机器之心
冷月清谈:
摘要
随着大语言模型(LLM)的广泛应用,其控制与引导成为关键挑战。本文介绍了一种新的对齐算法——TDPO(Token-level Direct Preference Optimization),它从Token-Level角度改善了大语言模型的对齐性能和生成多样性。TDPO的主要贡献包括:
-
**Token-level建模:**TDPO从每个token的角度进行建模,对RLHF进行更精细的分析。
-
**细粒度KL散度约束:**在每个token处引入了前向KL散度约束,使方法能更好地约束模型优化。
-
**性能优势明显:**与DPO相比,TDPO能够实现更好的对齐性能和生成多样性的帕累托前沿。
背景:直接偏好优化(DPO)
DPO通过数学推导,得到了奖励函数与最优策略之间的直接映射,消除了RLHF过程中的奖励建模阶段。
TDPO
TDPO通过修改RLHF的奖励建模和微调阶段,将它们扩展为了从Token-Level角度考虑的优化目标。它建立了Bradley-Terry模型和优势函数之间的相关性,并引入了Token-Level的前向KL散度控制,从而获得了更好的帕累托前沿。
实验结果
在IMDb、Anthropic/hh-rlhf和MT-Bench数据集上的实验表明,TDPO在对齐性能和生成多样性上均优于DPO算法。
怜星夜思:
2、TDPO的实际应用场景有哪些?
3、除了TDPO之外,还有哪些大语言模型对齐算法值得关注?
原文内容
AIxiv专栏是机器之心发布学术、技术内容的栏目。过去数年,机器之心AIxiv专栏接收报道了2000多篇内容,覆盖全球各大高校与企业的顶级实验室,有效促进了学术交流与传播。如果您有优秀的工作想要分享,欢迎投稿或者联系报道。投稿邮箱:liyazhou@jiqizhixin.com;zhaoyunfeng@jiqizhixin.com
在人工智能领域的发展过程中,对大语言模型(LLM)的控制与指导始终是核心挑战之一,旨在确保这些模型既强大又安全地服务于人类社会。早期的努力集中于通过人类反馈的强化学习方法(RLHF)来管理这些模型,成效显著,标志着向更加人性化 AI 迈出的关键一步。
尽管 RLHF 取得了巨大成功,但是在训练过程中 RLHF 非常消耗资源。因此,近段时间学者们在 RLHF 奠定的坚实基础上,继续探索更为简单且高效的策略优化路径,催生了直接偏好优化(DPO)的诞生。DPO 通过数学推理得到奖励函数与最优策略之间的直接映射,消除了奖励模型的训练过程,直接在偏好数据上优化策略模型,实现了从「反馈到策略」的直观飞跃。这不仅减少了复杂度,还增强了算法的稳健性,迅速成为业界的新宠。
然而,DPO 主要关注在逆 KL 散度约束下的策略优化。由于逆 KL 散度的 mode-seeking 特性,DPO 在提升对齐性能方面表现出色,但是这一特性也倾向于在生成过程中减少多样性,可能限制模型的能力。另一方面,尽管 DPO 从句子级的角度控制 KL 散度,模型的生成过程本质上是逐个 token 进行的。从句子级控制 KL 散度直观上表明 DPO 在细粒度控制上存在限制,对 KL 散度的调节能力较弱,可能是 DPO 训练过程中 LLM 的生成多样性迅速下降的关键因素之一。
为此,来自中科院和伦敦大学学院的汪军与张海峰团队提出了一种从 token-level 角度建模的大模型对齐算法:TDPO。
-
论文标题:Token-level Direct Preference Optimization
-
论文地址:https://arxiv.org/abs/2404.11999
-
代码地址:https://github.com/Vance0124/Token-level-Direct-Preference-Optimization
为了应对模型生成多样性显著下降的问题,TDPO 从 token-level 的角度重新定义了整个对齐流程的目标函数,并通过将 Bradley-Terry 模型转换为优势函数的形式,使得整个对齐流程能最终从 Token-level 层面进行分析和优化。相比于 DPO 而言,TDPO 的主要贡献如下:
-
Token-level 的建模方式:TDPO 从 Token-level 的角度对问题进行了建模,对 RLHF 进行了更精细的分析;
-
细粒度 KL 散度约束:在每个 token 处从理论上引入了前向 KL 散度约束,使方法能够更好地约束模型优化;
-
性能优势明显:相比于 DPO 而言,TDPO 能够实现更好的对齐性能和生成多样性的帕累托前沿。
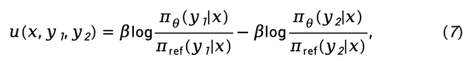
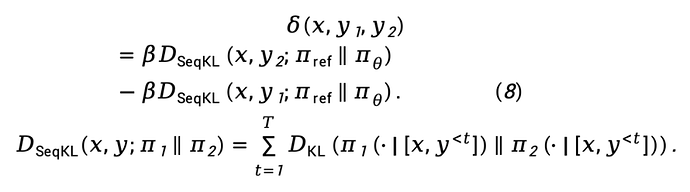
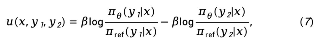
DPO 与 TDPO 的主要区别如下图所示:
图 1:DPO 的对齐优化方式。DPO 从 sentence-level 的角度进行建模
图 2:TDPO 的对齐优化方式。TDPO 从 token-level 的角度进行建模,并在每个 token 处引入了额外的前向 KL 散度约束,如图中红色部分所示,控制模型偏移程度的同时,充当了模型对齐的 baseline
下面介绍两者方法的具体推导过程。
背景:直接偏好优化(DPO)
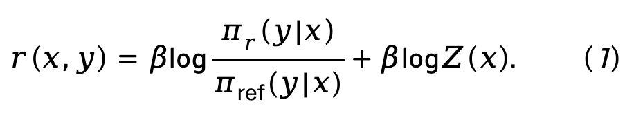
DPO 通过数学推导,得到了奖励函数与最优策略之间的直接映射,消除了 RLHF 过程中的奖励建模阶段:
将公式 (1) 代入 Bradley-Terry (BT) 偏好模型中,得到直接策略优化(DPO)损失函数:
其中
是由来自偏好数据集 D 的 prompt、获胜响应和失败响应构成的偏好对。
TDPO
符号标注
为了建模语言模型顺序的、自回归的生成过程,TDPO 将生成回复表示成 T 个 token 组成的形式
,其中
,
表示字母表(词汇表)。
当将文本生成建模为马尔可夫决策过程时,状态 state 定义为 prompt 和到当前 step 为止已生成的 token 的组合,表示为
,而动作 action 则对应于下一个生成的 token,表示为
,token 级奖励定义为
。
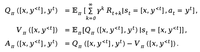
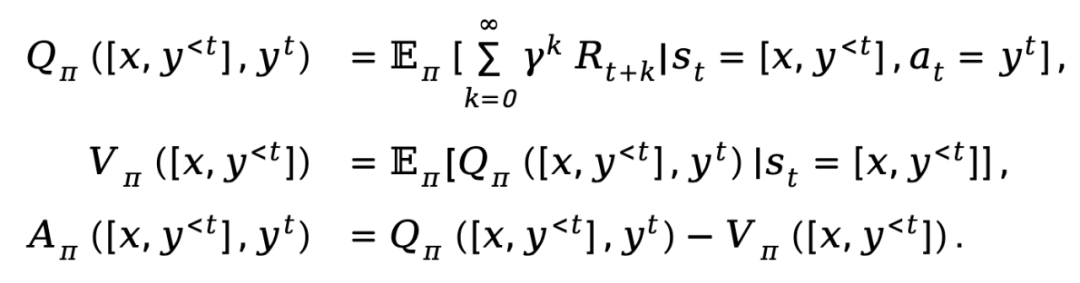
基于以上提供的定义,TDPO 为策略
建立了状态 - 动作函数
、状态值函数
和优势函数
:
其中,
表示折扣因子。
Token-level 角度的人类反馈强化学习
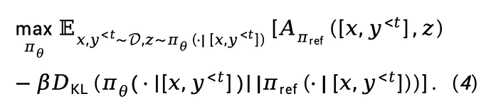
TDPO 理论上修改了 RLHF 的奖励建模阶段和 RL 微调阶段,将它们扩展为了从 token-level 角度考虑的优化目标。
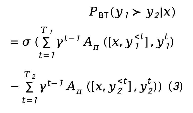
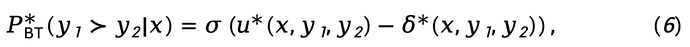
对于奖励建模阶段, TDPO 建立了 Bradley-Terry 模型和优势函数之间的相关性:
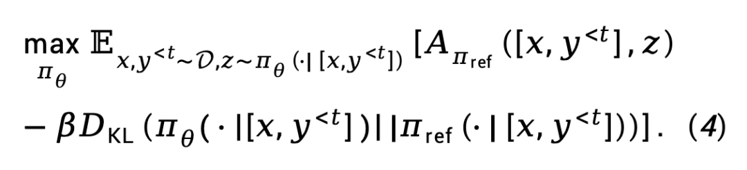
对于 RL 微调阶段,TDPO 定义了以下目标函数:
推导
从目标 (4) 出发,TDPO 在每个 token 上推导了最优策略
和状态 - 动作函数
之间的映射关系:
其中,表示配分函数。
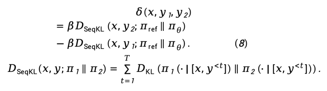
将方程 (5) 代入方程 (3),我们得到:
![]()
其中,
表示策略模型
和参考模型
表示的隐式奖励函数差异,表示为
而
则表示
和
的序列级前向 KL 散度差异,按
加权,表示为
基于方程 (8),TDPO 最大似然损失函数可以建模为:
考虑到在实际中,
损失倾向于增加
,放大
和
之间的差异,TDPO 提出修改方程 (9) 为:
其中
是一个超参数,而
这里,
表示停止梯度传播运算符。
我们将 TDPO 和 DPO 的损失函数总结如下:
由此可见,TDPO 在每个 token 处引入了这种前向 KL 散度控制,使得在优化过程中能够更好地控制 KL 的变化,而不影响对齐性能,从而实现了更优的帕累托前沿。
实验设置
TDPO 在 IMDb,Anthropic/hh-rlhf、MT-Bench 上个数据集上进行了实验。
IMDb
在 IMDb 数据集上,该团队采用了 GPT-2 作为基模型,然后用 siebert/sentiment-roberta-large-english 作为奖励模型评估策略模型输出,实验结果如图 3 所示。
从图 3 (a) 中可以看出,TDPO (TDPO1,TDPO2) 能够达到比 DPO 更好的 reward-KL 的帕累托前沿,而从图 3 (b)-(d) 则可以看出,TDPO 在 KL 散度控制方面表现极为出色,远远优于 DPO 算法的 KL 散度控制能力。
Anthropic HH
而在 Anthropic/hh-rlhf 数据集上,该团队采用了 Pythia 2.8B 作为基模型,采用两种方式评估模型生成的好坏:1)使用已有的指标;2)使用 GPT-4 评测。
对于第一种评估方式,该团队评测了不同算法训练的模型在对齐性能 (Accuracy) 和生成多样性 (Entropy) 上的权衡,如表 1 所示。
可以看到 TDPO 算法不仅在对齐性能 (Accuracy) 上优于 DPO 和 f-DPO,在生成多样性 (Entropy) 上也占据优势,在这两个大模型生成回复的关键指标上达到了更好的权衡。
而对于第二种评估方式,该团队评测了不同算法训练的模型和人类偏好的吻合度,与数据集中的获胜响应作对比,如图 4 所示。
DPO、TDPO1 和 TDPO2 算法在温度系数为 0.75 的情况下均能够达到对获胜响应的胜率高于 50%,较好地符合人类偏好。
MT-Bench
在论文中的最后一个实验上,该团队采用了在 Anthropic HH 数据集上训练好的 Pythia 2.8B 模型直接用于 MT-Bench 数据集评测,结果如图 5 所示。
在 MT-Bench 上,TDPO 能够达到比其他算法更高的获胜概率,这充分说明了 TDPO 算法训练的模型生成的响应的质量更高。
此外,有相关研究对 DPO、TDPO、SimPO 算法进行了对比,可参考链接:https://www.zhihu.com/question/651021172/answer/3513696851
基于 eurus 提供的 eval 脚本,评测了基模型 qwen-4b、mistral-0.1、deepseek-math-base 基于不同的对齐算法 DPO、TDPO、SimPO 微调训练得到的性能,以下是实验的实验结果:
表格 2:DPO,TDPO,SimPO 算法性能对比
了解更多结果,请参考原论文。
© THE END
转载请联系本公众号获得授权
投稿或寻求报道:content@jiqizhixin.com





















