爆肝万字长文!梳理多模态理解与生成的统一模型新进展,详解UniTok、D-DiT、UniMoD、QLIP、JanusPro等模型的技术突破,探索“全能型”MLLM的实现路径。
原文标题:爆肝万字!从JanusPro到UniTok,多模态大模型理解与生成的统一之路
原文作者:数据派THU
冷月清谈:
怜星夜思:
2、D-DiT 提出了双重扩散 Transformer 架构,感觉有点像图像和文本之间在互相“翻译”。但是,扩散模型本身计算量就很大,双重扩散会不会让训练成本变得更高?有没有什么方法可以降低 D-DiT 的训练成本,同时又能保证其性能?
3、Janus-Pro 将视觉编码模块拆开训练,分别负责理解和生成任务。这个思路有点像“术业有专攻”。但是,这种拆分会不会导致模型在处理一些需要同时理解和生成的复杂任务时,出现“沟通障碍”?
原文内容
随着 GPT-4o 生成能力的爆火,很多人都在研究怎么让模型既能看懂图片、视频(理解任务),又能根据文字生成图片、视频(生成任务)。
自回归模型(就是那种一个接一个预测下一个“词”的模型)在这两方面都取得了很大进展,比如现在有很多厉害的文生图、文生视频模型,还有很多强大的多模态大语言模型(MLLM)能理解图文信息。
自然而然地,研究人员就想把这两种能力整合到一个模型里,搞一个“全能型”的 MLLM,让它用一套系统既能理解世界,又能创造世界。
但是,这里有个大难题:视觉信息的“翻译”方式不一样。
-
理解任务(比如看图回答问题)需要的“翻译器”(视觉 tokenizer)得能抓住图片里的高层语义信息,明白“这画的是啥意思”。像 CLIP 这种就擅长这个,但它不太关心像素级的细节,所以直接拿去做生成效果不好。
-
生成任务(比如画画)需要的“翻译器”则必须捕捉图像的精细纹理和细节,才能画出逼真的图片。像 VQVAE 这类就很适合生成,但它可能抓不住图片整体的含义,不太适合直接用于理解任务。
如何处理任务之间的差距,使用统一的框架处理不同的任务?本篇文章总结了近期多篇相关的研究工作,从视觉 Tokenizer 的优化、模型架构的创新到训练策略的改进,全面梳理了多模态理解与生成统一的最新进展。
接下来,我们将深入探讨这些技术突破如何解决“翻译”难题,并为构建真正的“全能型” MLLM 指明方向。
一、字节跳动—UniTok
论文标题:UniTok: A Unified Tokenizer for Visual Generation and Understanding
论文链接:https://arxiv.org/abs/2502.20321
https://github.com/FoundationVision/UniTok
理解和生成两边好像有点“水火不容”。以前有人试过给每个任务用单独的翻译器,但这让模型变得更复杂,并没有从根本上解决问题。所以,大家迫切需要一个统一的视觉翻译器(tokenizer)或者相应的训练策略,既能搞定生成,也能搞定理解。这篇论文针对上述的挑战和疑问,做出了以下几个主要贡献:
重新审视了“目标冲突”问题:通过一系列实验分析,研究人员发现,之前统一 tokenizer 训练困难、效果不佳的主要原因,并非生成(重建)和理解(对比学习)两个目标本身的冲突。
他们发现,即使去掉重建任务,只训练一个向量量化的 CLIP 模型(也就是只关注理解),其性能也不如标准的 CLIP。
这说明问题出在向量量化(vector quantization)这个操作本身。也就是说,现有的离散视觉“词汇”太贫乏了,不足以同时承载生成所需的细节和理解所需的语义。这才是统一 tokenizer 效果上不去的根本原因。
提出了多码本量化(Multi-codebook Quantization)技术:为了解决离散 token 表达能力不足的问题,一个直观的想法是增加“字典”(codebook)的大小或者 token 的维度。但这样做容易导致很多“词汇”根本用不上(codebook utilization 低),效果提升有限,而且计算开销也大。
受到“分而治之”思想的启发,研究人员提出了多码本量化。简单来说,就是不搞一个大字典,而是把一个视觉 token 切成几块,每一块用一个独立的、小一点的子字典(sub-codebook)来进行量化。
这就像 Transformer 里的多头注意力机制一样,通过增加子字典的数量来指数级地扩大潜在的编码空间,同时又避免了单个大字典训练不稳定的问题。
本文推出了 UniTok:基于多码本量化技术,他们训练出了一个名为 UniTok 的新型统一视觉 tokenizer。
1.1 方法详解:如何打造一个全能视觉翻译器
统一的训练目标
首先,为了让这个翻译器同时具备生成和理解的能力,研究人员给它设定了两个训练目标,让它在训练时同时学习:
1. 重建细节(VQVAE-based Loss):这部分是为了保证翻译器能准确地记住图片的细节,以便能高质量地重建(画出)图片。这个损失 包含了好几个部分:
:像素级别的重建误差,看生成的图片和原图像素差多少。
:感知损失,用 LPIPS 指标衡量,更关注人眼看起来像不像。
:判别器损失,引入一个判别器来判断生成的图片够不够真实,提升保真度。
:向量量化损失,让编码器的输出尽量靠近“字典”里已有的词汇。
总的重建损失是这几项加权求和:
(这里的 是各项损失的权重系数)
2. 理解语义(Image-Text Contrastive Loss):这部分是为了让翻译器产生的视觉“词汇”带有丰富的语义信息,能和文本对齐,就像 CLIP 做的那样。这个损失 基本上和 CLIP 用的损失函数一样。
最终的总损失就是把这两个目标加起来:
1.2 揪出性能瓶颈:量化过程是关键
研究人员发现,虽然想法很好,但光是把这两个目标加起来训练,理解能力还是比不过专门的 CLIP,效果不太行。于是他们深入分析了从 CLIP 到这种统一 tokenizer 的过程中,到底是什么影响了性能(见下图 3 的分析过程):
Token 分解(Factorization):现在的 VQ 类 tokenizer 通常会先把高维的视觉特征(比如 768 维)压缩到一个很低的维度(比如 16 维),再去查字典找对应的离散 token。
这个过程叫“分解”。他们发现,即使只是在 CLIP 模型里加上这个简单的线性压缩再解压的操作(还没加量化和重建),模型在下游问答任务(VQA)上的性能就会大幅下降。这说明这种简单的压缩方式损失了太多重要信息。
离散化(Discretization):在分解的基础上,再把压缩后的低维特征强制映射到“字典”(codebook)里最接近的那个离散 token 上,这就是离散化。视觉 tokenizer 的字典通常比语言模型小得多(比如只有 4k 到 16k 个词)。
研究发现,把连续特征硬塞进这么小的离散空间,又会造成明显的信息损失,导致 VQA 性能再次下降。
结论:研究人员因此认为,所谓的“损失冲突”只是表面现象,真正限制统一 tokenizer 性能的根本原因,是离散 token 本身的表达能力太有限了,装不下那么多信息。
1.3 核心技术:提升 Token 表达力
为了打破这个瓶颈,研究人员提出了两个关键技术:
多码本量化(Multi-codebook Quantization, MCQ):
想法:既然一个字典不够用,那就用多个小字典!具体来说,他们把一个低维的视觉特征向量 (比如 64 维)切成 小块 (比如切成 8 块,每块 8 维)。
操作:然后,每一小块 都用一个独立的子字典 去进行量化(查字典找最近的词),得到量化后的块 。
合并:最后把所有量化后的子块拼起来,得到最终的离散表示 。
公式表示为:
好处:这样做的好处是,虽然每个子字典 可能不大(比如 4096 个词),但组合起来能表达的可能性就指数级增长了(比如 8 个 4k 的子字典,理论词汇量达到 ,远超单个大字典)。
这极大地提升了离散 token 的表达空间,同时因为每个子字典规模可控,又避免了训练单个超大字典的优化难题。而且,潜在的编码维度也随着子字典数量增加了(比如 8 个 8 维子块,总维度 64 维)。
注意力分解(Attention Factorization):
-
问题:前面提到,用简单的线性层做 token 分解(高维压缩到低维)会损失很多信息。
-
改进:研究人员建议使用多头注意力(Multi-Head Attention)模块来替代简单的线性层进行分解(具体结构见图 4,包含一个通道压缩块和一个通道扩展块)。
-
效果:尽管这个改动很简单,但实验发现它能有效地保留原始 token 中的语义信息,提升分解后特征的表达能力。特别地,为了能用于自回归生成任务,这里的注意力模块使用的是因果注意力(causal attention)。
1.4 将 UniTok 融入统一 MLLM
最后,研究人员展示了如何将训练好的 UniTok 应用到一个统一的多模态大语言模型(MLLM)中。
他们采用了类似 Liquid 的框架,用一个通用的“预测下一个 token” 的目标来处理视觉和文本序列。
-
关键点:他们没有让 MLLM 从头学习视觉码本,而是重用了 UniTok 训练好的码本 embedding,通过一个 MLP 投影层将其映射到 MLLM 的 token 空间。
-
处理多码本输出:UniTok 会把一张图编码成 个 code( 是子码本数量)。为了简化 MLLM 的输入,他们把每 个连续的 code 合并成一个单一的视觉 token 输入 MLLM。
-
预测多码本输出:在 MLLM 需要预测视觉 token 时,模型会自回归地一次性预测出下一个位置对应的 个 code。这里借鉴了 RQ-Transformer 和 VILA-U 的做法,使用了一个深度 Transformer 头(depth transformer head)来实现。
通过这些方法,UniTok 成功地作为一个强大的、统一的视觉接口,被集成到 MLLM 中,兼顾了生成和理解的需求。
1.5 实验结论
UniTok 相比于已有的 tokenizer 有这明显的优势,在重建质量和 probding 做分类的任务上都有更好的表现。
UniTok 在多个视觉问答(VQA)基准测试中,明显优于其他统一模型,如 Chameleon 和 VILA-U,在准确率和其他评分上都取得了更好的成绩。它缩小了与使用连续视觉标记器的模型之间的性能差距。
UniTok 在文本到图像生成任务中表现优异,超越了包括扩散模型在内的其他模型,尤其在像 GenAI-Bench 这样的复杂基准测试上表现出色。即使在较低分辨率下,UniTok 生成的图像也具有高质量、细节丰富的特点,且能够理解抽象概念,如“梵高画风”或“比特币”,并灵活地将这些概念结合生成创意图像。
论文标题:Dual Diffusion for Unified Image Generation and Understanding
当前的多模态生成模型领域存在明显的分化:
-
扩散模型(如 Stable Diffusion)在文本到图像生成中表现卓越,但几乎没有处理视觉问答案例的能力,因为传统扩散模型不擅长处理文本任务。
-
自回归模型(如 LLaVA、BLIP-2)则在视觉问答和文本生成中表现出色,但图像生成能力有限。
这篇文章的核心动机是探索能否构建一个统一的端到端扩散模型,兼顾视觉理解和生成任务,打破两种模型的壁垒,实现更灵活的多模态交互。
2.1 主要贡献
第一个全端到端的多模态扩散模型:
-
基于 MM-DiT 架构(多模态扩散变换器),同时支持图像生成、图像描述、视觉问答等任务。
-
在扩散模型中首次实现了完全双向的模态交互(图像 ⇄ 文本),无需依赖自回归模型。
混合扩散策略:
-
图像分支采用连续潜在空间扩散(类似传统扩散模型)。
-
文本分支采用离散掩码标记扩散(通过最大似然估计处理文本生成)。
-
两种策略通过单一损失函数联合训练,实现参数共享。
快速适应能力:
-
模型可继承预训练扩散模型权重(如 Stable Diffusion 3)。
-
初始训练仅需 250 亿文本 Token 即可生成有意义的文本,显著降低计算成本。
任务扩展性:
-
在传统文本生成图像的基础上,新增可控文本填充能力,支持更复杂的视觉问答场景。
-
性能优于现有混合模型(如结合扩散 + 自回归的 Unidiffuser 等)。
2.2 双重扩散 Transformer(D-DiT)方法详解
模型架构
D-DiT 的核心是一个基于 Transformer 的架构,分成两个分支,就像两条腿一样分工合作:
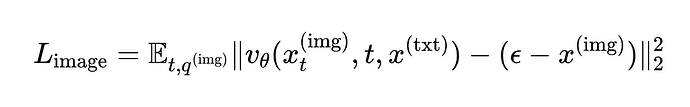
图像分支:负责处理图像的“词汇”(token),输出的是一个速度场,也就是告诉模型如何从带噪声的图像一步步恢复出清晰的图片。这个速度场的预测是基于文本条件的,记作:
这里 是带噪声的图像, 是时间步, 是条件文本。
文本分支:负责处理文本的“词汇”,输出的是原始文本的预测,也就是从被打乱(比如部分被遮盖)的文本中猜出原本的内容。这个预测是基于图像条件的,记作:
这里 是被打乱的文本, 是条件图像。
这两个分支不是各干各的,而是在每个注意力层里互相交流,通过 Transformer 的注意力机制让图像和文本的信息充分融合。
-
时间步的处理:模型用一个标量时间步嵌入(timestep embedding)来调整每一层的特征图,通过一种叫做 AdaLN(自适应层归一化)的方法。图像生成时,直接输入时间步 ;文本生成时不用显式输入 ,因为文本被遮盖的比例本身就暗示了时间信息。
-
额外的文本编码器:在文本分支上加了一个双向注意力的文本编码器,专门处理文本输入。这个编码器不能用 causal mask,不然会干扰文本扩散的过程。
-
降低计算成本:为了不让高分辨率图像拖慢速度,研究人员把图像从像素空间编码到一个压缩的潜空间(latent space),用的是带判别器损失和 KL 正则化的变分自编码器(VAE)。
2.3 训练方法
D-DiT 的训练目标是同时学会图像和文本的条件分布,用的是一种联合去噪策略,把连续扩散(continuous diffusion)和离散扩散(discrete diffusion)结合起来。
2.3.1 图像训练:流匹配损失
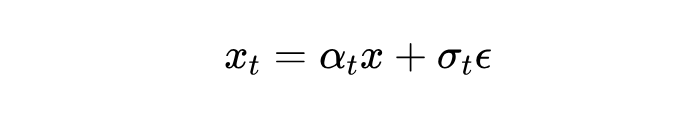
过程:先通过一个正向过程给图像加噪声,公式是:
简单说,就是让模型预测的速度场尽量接近真实的速度场,用平方误差衡量。
2.3.2 文本训练:掩码扩散损失
过程:文本的正向过程是逐渐把原始 token 替换成掩码(mask),公式是:
这里 是掩码状态, 控制损坏程度, 表示类别分布。
目标:让模型从被掩码的文本 和条件图像 中预测出原始文本 。
损失函数:用的是一个基于掩码扩散的损失,写成:
这里 是时间步采样点数, 是具体时间步,损失衡量预测文本和真实文本的对数相似度,再除以时间步做标准化。
采样细节:时间步 用对偶采样(antithetic sampling),在 区间均匀分成 个点( 是个小数,避免数值问题);图像的 则从对数正态分布中采样。
2.3.3 联合损失
训练时,条件样本(比如给图像去噪时的文本,或给文本去噪时的图像)保持干净,不加噪声。
总损失是两个单模态损失的加权和:
是个超参数,调节文本损失的比重。
2.4 推理方法:三种玩法
D-DiT 提供了三种推理方式,灵活应对不同的视觉-语言任务:
1. 文本到图像生成:
目标:从文本条件 生成图像 。
方法:用分类器自由引导(CFG)技术,通过调整速度场预测来采样:
直白点说:模型根据文本提示,结合一点“无条件”预测,逐步把噪声变成清晰图片。
图像到文本生成:
目标:从图像条件 生成文本 。
方法:用祖先采样(ancestral sampling),从后验分布 中逐步抽样,预测 。
直白点说:从被掩码的文本开始,参考图像信息,一步步填回完整文本。
图像到文本填充:
目标:在有图像 和部分文本(比如问题 )的情况下,生成答案 。
方法:把问题初始化为带掩码的状态,利用文本扩散模型的填充能力,从条件分布 中采样。问题部分的 token 在采样时保持固定。
直白点说:比如视觉问答任务,给一张图和问题“天上有彩虹吗?”,模型填出答案“是的,有彩虹”。
训练策略
阶段一基础训练:该阶段的目标是使 D-DiT 适应文本生成任务。模型在约 30M 图像的 Datacomp-1b 数据集上训练,使用了联合扩散损失,并进行了 60K 次迭代。文本最大长度被截断为 64,图像分辨率设置为 256,批大小为 512。
阶段二高质量数据强化:此阶段使用了 ShareGPT4V 和 OpenImages 数据集,这些数据集提供了丰富的文本描述。模型在这些数据集上训练了 200K 次迭代,文本长度设置为 256,图像分辨率为 256,批大小为 512。此外,还对更高质量的图像数据集(包括 LAION-1024 和 Midjourney 图像)进行了可选的高分辨率模型微调。
阶段三视觉指令微调:此阶段,模型使用了 LLaVA-Pretrain558K、LLaVA-v1.5-mix-665K 以及 TextVQA 和 VizWiz 等视觉指令微调数据集。训练目标是促使模型生成联合文本-图像条件文本,并训练了 50K 次迭代,模型被训练以根据任务特定的指令提示(如“用一个单词或短语回答问题”或“简洁地描述图像”)来回答问题。
2.5 实验结果
在 GenEval 专业作图测试中,和原版 Stable Diffusion3 保持相同水平,色彩准确率还提升 8%(可能因为视觉理解训练帮助模型更好把握描述细节)。
生成梵高风格图像时,新模型笔触更细腻(实验中的美学评分从 4.2 提升到 4.7)。
在经典视觉问答 VQAv2 中,512 分辨率版模型准确率达 60.1%,超过了部分自回归模型(如 BLIP-2 的 41%)。
2B 参数的模型在生成质量和计算开销之间取得完美平衡。当参数量翻倍时,答题准确率仅提升 1.7%,但耗能却增加 3 倍。
图像分辨率提高会明显提升视觉问答能力(从 256 到 512 分辨率时,MME 评分提升 25%),但文本生成质量几乎不变。
三、Show-lab - UniMoD
论文标题:
UniMoD: Efficient Unified Multimodal Transformers with Mixture-of-Depths
论文链接:
https://arxiv.org/abs/2502.06474
代码链接:
https://github.com/showlab/UniMoD
训练全能模型开销很大。主要原因有两个:一是因为模型处理的数据里面有很多是冗余的,其实没那么重要;二是因为“注意力机制”的部分,计算量特别大。
之前在研究纯文本大模型的时候,“深度混合(Mixture of Depths, MoD)”的方法,通过扔掉一些不重要的 token 来提高计算效率,效果还不错。这个方法就像给每个 token 打分,然后只让得分高的 token 进入下一层计算。
然而,研究人员发现,直接把这个 MoD 方法搬到全能型多模态模型上效果不太行。为什么呢?
因为不同的任务(比如生成任务和理解任务)对 token 的依赖程度不一样,冗余程度也不同。用同一个“裁判”(router)去决定所有任务里哪些 token 该被扔掉,就显得有点一刀切了,顾此失彼,可能会把生成任务需要的重要 token 给扔了,或者没把理解任务里的冗余 token 清理干净。
所以,怎么给这种全能模型“减负”,让训练更高效,同时又不牺牲性能,就成了一个亟待解决的问题。特别是,需要一种更聪明的、能区分不同任务需求的 token “瘦身”方法。
3.1 主要贡献
这篇研究为了解决上面提到的问题,做了一些挺有意思的探索和贡献:
深入分析了全能模型:研究人员仔细研究了现有的全能型多模态大模型(比如 Show-o 和 Emu3),从几个角度去扒细节:
-
注意力权重:看看不同的任务(生成 vs 理解)和不同的数据类型(图像 vs 文本)会不会影响模型内部的注意力分配模式。
-
层的重要性和 Token 冗余度:通过实验评估模型里不同层的重要性,以及不同层、不同任务下 token 的冗余程度(用了一个叫 ARank 的指标,值越高表示冗余越少)。
-
任务间的相互影响:研究了一下,如果模型只做一个任务,会不会影响另一个任务的表现;还设计了一个“竞争”场景,让不同任务的 token 抢着被选中,看看谁更重要。
得出了关键发现:通过上面的分析,得到了两个重要结论:
-
模型里的不同层,重要性确实不一样,token 的冗余程度也随着层数变化。
-
最关键的是,不同的任务(比如生成和理解),因为实现方式不同(比如一个是扩散模型方法,一个是自回归方法),导致它们的 token 冗余程度差异很大。就算是同一种类型的数据(比如图片 token),在生成任务里和在理解任务里,其重要性和冗余度也可能完全不同。
提出了 UniMoD 方法:基于这些发现,研究人员提出了一个叫 UniMoD(Unified Mixture-of-Depths)的新方法。这个方法的核心思想是任务感知(task-aware),也就是区别对待不同任务:
-
它不再用一个统一的裁判来决定丢弃哪些 token,而是给每个任务(比如生成任务、理解任务)配一个专属的裁判(router)。
-
这样,每个裁判就可以根据自己负责的任务的特点,来决定哪些 token 是冗余的、可以被“跳过”计算,从而更精准地进行 token 剪枝。
验证了效果:他们在 Show-o 和 Emu3 这两个代表性的全能模型上应用了UniMoD方法。结果显示:
-
显著降低了计算量:Show-o 的训练计算量(FLOPs)减少了大约 15%,Emu3 更是减少了约 40%。
-
性能不降反升:在降低计算量的同时,模型在一些评测标准上的表现甚至还有所提升。
3.2 对统一多模态 Transformer 的实证分析
这部分研究深入探讨了现有的“全能型”多模态大模型(Unified Multimodal Transformers)存在的一些问题,为后面提出 UniMoD 方法打下了基础。研究人员主要从几个方面入手,进行了细致的分析和实验。
3.2.1 预备知识:全能模型与 MoD
全能型多模态 Transformer:这种模型旨在用一套参数同时处理理解任务(比如看图回答问题)和生成任务(比如文字生成图片)。主要有两种流派:
一种是所有任务都用自回归(AR, Autoregressive)方式处理,典型代表是 Emu3。
另一种是生成任务用扩散模型(Diffusion)或流匹配(Flow Matching),理解任务用自回归方式,典型代表是 Show-o。
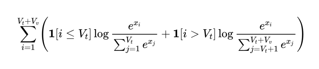
Show-o 的训练目标有两个:
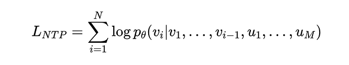
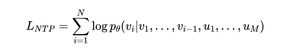
下一个 Token 预测(NTP):用于生成任务。给定图片 token 和文本 token ,模型的目标是最大化预测下一个文本 token 的概率:
掩码 Token 预测(MTP):用于理解任务。给定一个序列,其中某些图片 token 被遮盖了,模型的目标是最大化预测这些被遮盖 token 的概率:
这里的 指的是除了第 j 个以外的所有图片 token。
Emu3 的训练目标则是标准的自回归,对图片和文本混合序列中的每一个 token 进行预测:
这里的 是混合序列中的第 i 个 token。
深度混合(MoD):这是一种提升 Transformer 训练效率的技术。简单来说,就是给模型每一层加一个“路由器”(Router)。这个路由器会判断哪些输入的 token 不太重要,然后让这些不重要的 token“跳过”当前层的计算,直接去下一层。这样就能减少计算量。公式表示大概是这样:
这个方法和 MoE(Mixture of Experts)不一样,MoE 是让不同的 token 被不同的“专家”(模型的一部分)处理,主要是为了扩大模型容量;而 MoD 是直接减少参与计算的 token 数量,旨在降低计算成本。
3.2.2 分析一:注意力权重模式
研究人员观察了四种不同的全能模型(Show-o, JanusFlow, Emu3, Lumina-mgpt)内部,图片 token 和文本 token 在不同层获得的注意力权重有啥规律。他们主要对比了两种任务:多模态理解(MMU)和文本到图片生成(T2I)。
-
发现 1:不同任务下,图片和文本 token 的注意力权重模式差异很大(尤其是在 Show-o, JanusFlow, Emu3 中)。但在 Lumina-mgpt 模型里,两种任务下的模式又很相似。
-
原因分析:研究人员认为,这主要是因为不同模型、不同任务采用的建模方法(比如 Show-o 的生成用扩散,理解用自回归)和序列组织方式(比如图片和文本 token 如何排列组合输入模型)不同。Lumina-mgpt 可能因为用了交错数据训练,并且建模和序列设计上更统一,所以任务间差异较小。
-
启发:这个发现说明,图片和文本 token 的重要性是随着任务变化的。因此,后面做 token 剪枝(pruning)的时候,不能只看一种模态,而是要综合考虑图片和文本 token 的冗余性。
3.2.3 分析二:层的重要性和 Token 冗余度
这部分研究了模型里不同层到底哪个更重要,以及不同层、不同任务下的 token 有多“冗余”(即信息量低,可能可以被丢弃)。
层的重要性实验(Show-o):他们做了一个简单的实验:在推理(模型跑预测)的时候,依次跳过模型中的某些层(比如第 1 层、第 3 层……),然后看模型在 GQA 这个理解任务 benchmark 上的性能下降多少。
发现 2:结果(见表 1)显示,跳过靠前的层比跳过靠后的层,对模型性能的影响更大。这说明模型的前几层对于最终结果更关键。
Token 冗余度量化:研究人员借鉴了之前工作中的 ARank(Attention Map Rank)指标来衡量每一层中 token 的冗余程度。ARank 衡量的是注意力矩阵的秩(rank)。简单来说,ARank 值越高,表示这一层的 token 冗余度越低(信息量越大)。计算公式大致如下:
其中 是第 h 个注意力头的注意力图, 是注意力头的数量, 和 是对应的查询(Query)和键(Key)的投影矩阵。
ARank 分析(四个模型):他们计算了四个模型在不同层、不同任务下的 ARank 值。
发现 3:对于 Show-o 和 JanusFlow 模型,生成任务(T2I)和理解任务(MMU)的 token 冗余度差异显著。
比如在 Show-o 里,理解任务(MMU)的 ARank 值普遍比生成任务(T2I)低很多,说明理解任务中有更多的冗余 token。而在 Emu3 和 Lumina-mgpt 中,两个任务的冗余度则比较接近。研究者认为这还是和模型采用的建模方法有关(扩散 vs 自回归 vs 纯自回归)。
发现 4:对于同一个任务,不同层的 token 冗余度也差异巨大。通常,靠前的层 ARank 值较高(冗余少),靠后的层 ARank 值较低(冗余多)。这种现象在所有被分析的模型中都存在。研究者猜测这可能和模型使用的基础语言模型有关。
启发:这部分分析说明,进行 token 剪枝时,应该重点关注那些冗余度高的层(ARank 值低的层),并且需要根据不同的任务来确定剪枝的比例和策略。
3.2.4 分析三:任务间的相互作用
这部分探讨了同时训练多个任务会不会互相影响,以及不同任务的 token 在竞争中谁更重要。
任务干扰实验(Show-o):研究人员比较了三种训练设置:只训练生成任务、只训练理解任务、同时训练两个任务。然后评估了模型在各自任务上的性能。
发现:结果(见表 2)显示,三种设置下,各自任务的性能几乎没差。这说明,至少在 Show-o 这个模型里,同时训练两个任务并不会显著地互相提升或者互相拖累。研究者推测,这可能还是因为 Show-o 对两个任务用了不同的处理流程(扩散 vs 自回归)。
Token 竞争实验(Show-o):他们设计了一个场景,让生成任务(T2I)的 token 和理解任务(MMU)的 token 竞争被模型选中(不被剪枝)。他们使用了一种叫做 Gumbel-Softmax 的方法给每个 token 分配一个接近 0 或 1 的权重,1 表示保留,0 表示剪枝,并限制每层只能保留一半的 token。
发现 5:结果(见原文图 5)显示,生成任务(T2I)的 token 绝大多数都被赋予了权重 1(被保留),而理解任务(MMU)的 token 则有相当一部分被赋予了权重 0(被剪枝)。这说明,在当前的竞争机制下,模型认为生成任务的 token 对于优化目标(比如降低 loss)更重要。
启发:这个发现暗示,如果用统一的标准去剪枝所有任务的 token,可能会导致某些任务(比如这里的理解任务)的 token 被过度剪枝,从而影响其性能。因此,为不同的任务分别设置剪枝策略可能是更合理的方式。
这些细致的分析和有趣的发现,共同指向了同一个结论:简单地将 MoD 应用于统一多模态模型是行不通的,需要一种能够感知任务差异、层级差异的、更精细化的 token 剪枝方法。这直接催生了他们提出的 UniMoD 方法。
3.3 方法详解:UniMoD 是怎么做的?
前面分析了一大堆,发现了全能模型里的 token 冗余跟任务类型、模型层数都有关系,而且不同任务的 token 重要性也不一样。
基于这些观察,研究人员就提出了一个更聪明的 token 剪枝方法,叫做 UniMoD(Unified Mixture-of-Depths)。这个方法的核心就是区别对待不同的任务。
下面是具体的做法,也就是 UniMoD 的技术细节:
3.3.1 任务感知的 MoD 层(Task-Aware MoD Layer)
这个是 UniMoD 的核心改造。研究人员没有让所有的 Transformer 层都一视同仁地处理所有任务的 token,而是把一些普通的 Transformer 层变成了三种特殊的“深度混合(MoD)层”:
T2I MoD 层(Text-to-Image MoD block):这种层是专门为“文本生成图片”(T2I)任务设计的。当处理 T2I 任务的数据时,它会根据规则来决定哪些 T2I 任务的 token 可以被“跳过”(剪枝)。
但是,如果这时候进来的是“多模态理解”(MMU)任务的数据,这个层就老老实实处理所有的 MMU token,一个也不跳过。
MMU MoD 层(Multi-Modal Understanding MoD block):这个跟上面相反,是专门为“多模态理解”(MMU)任务设计的。它只会在处理 MMU 任务数据时进行 token 剪枝,对 T2I 任务的数据则全部处理。
共享 MoD 层(Shared MoD block):这种层就比较“公平”了,它会同时对 T2I 和 MMU 两种任务的 token 进行剪枝。
关键在于,每种 MoD 层(或者说每个任务在 MoD 层里)都有自己专属的“路由器”(Router)。这个路由器负责给当前任务的 token 打分,决定谁留下谁跳过。
而且,给 T2I 任务设计的路由器和给 MMU 任务设计的路由器,它们的“容量”(capacity,可以理解为剪枝的严格程度或者说保留 token 的比例)是可以不一样的。这样就能根据不同任务的实际需求来灵活地调整剪枝策略了。这些路由器会同时考虑图片和文本 token,进行跨模态的剪枝。
不同的任务流经模型时,在特定的 MoD 层会遇到自己的专属路由器,决定哪些 token 可以“抄近路”。
3.3.2 任务相关的 MoD 公式
为了实现这种任务相关的剪枝,研究人员稍微修改了一下标准 MoD 的公式:
解释一下这个公式里的符号:
:表示原始的、进入这一层的第 个 token。
:表示经过这层(可能被剪枝)处理后的 token。
:代表当前处理的是哪个任务,比如 =T2I 或者 =MMU。
:指的是专门为任务 设计的 Transformer 层处理函数(就是正常的 Attention 和 FFN 计算)。
:这是任务 专属的路由器函数,它会给输入的 token 算出一个权重(重要性得分) 。
:这是任务 专属的剪枝阈值。只有当一个 token 的得分 大于等于这个阈值 时,它才会被认为是重要的,需要经过 的完整计算(然后加上残差连接 )。
如果得分 小于阈值 ,那么这个 token 就被认为是冗余的,直接“跳过” 的计算,原封不动地输出 。
通过这种方式,UniMoD 就能针对不同任务、不同层级应用不同的剪枝策略和阈值,更加精细化地管理计算资源,提升训练效率。
他们在 Show-o 和 Emu3 这两个代表性的全能模型上应用了 UniMoD 方法。结果显示:
-
显著降低了计算量:Show-o 的训练计算量(FLOPs)减少了大约 15%,Emu3 更是减少了约 40%。
-
性能不降反升:在降低计算量的同时,模型在一些评测标准上的表现甚至还有所提升。
论文标题:
QLIP: Text-Aligned Visual Tokenization Unifies Auto-Regressive Multimodal Understanding and Generation
论文链接:
https://arxiv.org/abs/2502.05178
代码链接:
https://github.com/NVlabs/QLIP/tree/main
在多模态理解和生成任务中,现有的视觉编码器往往面临着两个问题:一方面是图像的重建质量不足,另一方面是多模态的理解效果不理想。传统的自回归序列模型在视觉与语言的结合上面临瓶颈,尤其是视觉编码的 token 化方法上存在较大的挑战。
常见的做法是通过自编码器来学习图像的压缩表示,但这种方式通常不能有效捕捉语义信息,导致视觉和语言的处理分开,训练效率低下,且需要大量计算资源。因此,如何在保证图像重建质量的同时,提升视觉-语言理解能力,成为了当前的研究重点。
4.1 主要贡献
本文提出了一种新的视觉 token 化方法——量化语言-图像预训练(QLIP),该方法将视觉-语言对齐引入到视觉token化阶段,从而在图像重建和多模态理解之间取得了很好的平衡。QLIP 使用基于二进制球形量化(BSQ)的自编码器,并结合对比学习和图像重建目标进行训练。
本文的创新之处在于:
1. 提出了在视觉 token 化阶段同时进行视觉-语言对齐的做法,解决了图像重建与语义理解之间的冲突。
2. 提出了动态平衡两种损失的策略,使得对比目标和回归目标可以协调优化。
3. 提出了两阶段训练方法,解决了对比学习和图像重建所需的不同批量大小问题,从而使得 QLIP 能够在大规模的视觉-语言预训练任务中表现出色。
4. QLIP 在多个多模态理解和生成任务上取得了优异的表现,尤其是在 LLaVA 和 LlamaGen 等任务中的应用上,能够替代传统的视觉编码器,并且在某些任务中表现得更好。
4.2 核心思路
这篇文章的目标是搞一个与文本对齐的视觉分词器(visual tokenizer)。简单来说,就是想让图像块也能像文字一样被表示成一个个“词”(token),而且这些图像“词”的表示能跟文本“词”的表示在同一个空间里,这样模型就能更好地理解图文关系。
大概思路是:
基础是图像自编码器:用一个叫 BSQ(Binary Spherical Quantization)的量化方法来压缩图像信息,得到离散的视觉 token。这种方法比传统的 VQ 更能适应大词汇表。
加入文本对齐:在训练自编码器的同时,引入像 CLIP 那样的对比学习方法,利用图像附带的文本描述,来让视觉 token 的表示和文本 token 的表示相互靠近。
最后,他们把这些学好的、与文本对齐的视觉 token 和普通的文本 token 拼在一起,喂给一个大语言模型(基于 Llama 3),训练出一个能同时处理和生成文本、图像的统一多模态模型(UM3)。
4.2.1 量化方法:BSQ(Binary Spherical Quantization)
文章没有用常见的 VQ,而是选择了一个叫 BSQ 的方法,因为它在大词汇量(就是视觉 token 种类很多)的情况下表现更好。
怎么工作:BSQ 不是直接学一个巨大的码本(codebook),而是用一个“隐式”的码本。它先把图像编码器输出的连续特征 (latent embedding)线性投影到一个 维的单位超球面,得到向量 。
然后对 的每一维进行二值化(大于 0 就是 ,小于等于 0 就是 ),得到量化后的向量 。这个 就对应着隐式码本里的一个码字(一个超立方体的顶点)。最后再把 投影回原始的特征空间得到 。
获取 token 索引:在推理时,根据 每个维度是正还是负,就能直接计算出对应的 token 索引 :
这里 是指示函数,条件成立时为 1,否则为 0。
BSQ 损失函数:为了让模型好好学习怎么量化,并且让不同的码字都被用到,BSQ 用了一个基于熵的损失函数:
这里 表示熵, 是量化操作。这个损失鼓励单个样本量化结果的熵高(不确定性大,即用软量化时概率分布平坦),同时鼓励整个数据集量化结果的平均熵低(整体上某些 token 更常用)。
4.2.2 语言-图像对齐
这部分和 CLIP 类似,目标是让匹配的图像和文本在表示空间里靠得更近,不匹配的则相互远离。
特征提取:用一个视觉编码器 提取图像 的特征,用一个文本编码器 提取文本 的特征。在 QLIP 里,视觉特征 是通过一个专门的分类 token 经过编码器 得到 ,再通过一个线性投影头 得到并归一化的:
文本特征 也是归一化的:
对比损失:使用 InfoNCE 类型的损失函数:
这里的 是一个批次 (batch) 的样本, 和 是样本索引, 是一个可学习的温度参数。这个公式的意思是,对于第 对图文 ,要让 和 的相似度(用点积表示)尽可能高,同时让 和其他文本 ( ) 的相似度尽可能低(第一项),也要让 和其他图像 ( ) 的相似度尽可能低(第二项)。
4.2.3 QLIP 训练中的挑战与技巧
直接把自编码器和对比学习合在一起训练会遇到问题,主要是计算资源(显存)和不同任务目标(重建图像 vs. 语义对齐)之间的平衡。文章提出了几个解决方法:
两阶段训练(Two-stage training):
第一阶段:主要目标是学习有意义的语义表示。只优化重建损失( )、量化损失( )和对比损失( ),不加那些很占显存的感知损失(perceptual loss)和对抗损失(adversarial loss)。总损失是这三者的加权和:
这里的 是权重系数。他们更看重对比损失,学习语义。
第二阶段:主要目标是提升图像重建的质量,恢复更多细节。冻结视觉编码器(防止语义表示变差),只微调量化器和解码器。这时候加入感知损失( )和对抗损失( ),同时保留重建和量化损失。总损失变为:
这时候因为不需要文本编码器了,可以适当调整批大小限制。
加速训练与更好的初始化(Accelerated training with better initializations):
-
从头训练 CLIP 类模型需要海量数据(几十亿样本)。为了加速,他们建议用 MIM(Masked Image Modeling)或 CLIP 预训练好的模型来初始化视觉编码器,用 CLIP 预训练好的模型初始化文本编码器。这样,据说用 40 亿样本就能达到不错的效果,比从零开始快 10 倍。
平衡重建和对齐目标(Balancing reconstruction and alignment objectives):
-
重建损失和对齐损失对模型参数的梯度幅度差异很大(可能差好几个数量级),导致它们收敛速度不一致。
-
他们提出一个简单的事后加权方法:分别单独训练只带重建损失和只带对齐损失的模型,看它们收敛后的最终损失值 和 。然后设置第一阶段训练时的权重比,使其与最终损失值成反比:
-
他们认为这种方法比一些自动调权重的自适应方法(需要额外计算梯度,带来时间和显存开销)更实用,并且发现这个比例比较稳定,在不同模型设置下都有效。
改进的 BSQ 瓶颈(Improved bottleneck in BSQ-AE):
-
原始 BSQ 里从 到 以及从 到 的投影是线性的。他们把这俩线性层换成了 MLP(多层感知机),让这个瓶颈部分更深、表达能力更强: 。
-
因为瓶颈变深了,他们还发现加入一个类似 VQ-VAE 里的 commitment loss 的辅助项 有助于改善重建效果( 表示 stop gradient,阻止梯度回传)。这个在原始线性 BSQ 里不是必需的。
4.2.4 UM3 模型架构与训练
有了 QLIP 产生的视觉 token,就可以构建统一多模态模型 UM3 了。
架构(Architecture):
-
基础模型是 Llama 3
-
为了解决多模态输入可能导致的 attention 计算中的数值不稳定问题(Chameleon 论文中提到),他们采用了 QK-Norm(Query-Key Normalization)。好消息是,QK-Norm 可以直接用到预训练好的 Llama 3 上,不需要从头训练。
-
扩展了模型的词嵌入层(token embedding)和输出层 (output layer)** 来容纳新的视觉 token。新增的视觉 token 的初始 embedding 用的是所有文本 token embedding 的平均值。
-
为了缓解 logit shift(不同模态输出概率分布范围不一致)问题,他们对文本 token 和视觉 token 分开计算 softmax:
这里 是文本词汇量, 是视觉词汇量, 是第 个 token 的 logit 输出。
数据混合策略(Data Mixing):
-
训练时,每个批次里混合了纯文本、图文对、文图对(可能是指生成任务)数据。
4.3 实验设置概览
训练 QLIP:主要用了 DataComp-1B 这个大数据集,包含十亿个图文对。
评估 QLIP:
-
视觉基础能力:在 ImageNet-1k 上测零样本分类准确率、线性探测准确率,还有图像重建质量(用 rFID、PSNR、SSIM 这些指标)。
-
图文理解能力:把 QLIP 的视觉编码器接到大语言模型(LLM)前面(像 LLaVA 1.5 那样),看看在视觉问答(VQAv2, GQA, TextVQA)和更复杂的 VLM 基准(POPE, MME, MM-Vet)上表现怎么样。他们用了一个可学习的投影网络 来连接视觉特征 和 LLM:
这里 是图像, 是输入的文本指令, 是模型生成的文本输出。
-
文生图能力:用 QLIP 把图像变成离散的视觉 token 序列 。然后用一个 Transformer 模型(类似 Llama-2)学习根据文本描述(编码成 )自回归地生成这些视觉 token:
训练和评估统一多模态模型(UM3):
-
训练数据:混合了纯文本数据(DCLM-baseline)、图文对(CC-12M+SA-1B)。
-
评估:涵盖了纯文本任务(ARC-C, HellaSwag 等)、看图说话(MS-COCO Captioning)和文生图(MS-COCO)。
4.3.1 QLIP 效果怎么样?
QLIP 又能打又能压:
-
在视觉理解(比如零样本图像分类)上,QLIP(如 QLIP-B)的表现和只做对比学习的 CLIP 模型差不多,甚至比一些 CLIP 变种(如 OpenCLIP-B)还好一点。
-
同时,QLIP 还能做图像压缩和重建,压缩率挺高(比如 QLIP-B 压缩到 28 比特,压缩比 219.4),重建质量(看 rFID, PSNR, SSIM)也跟专门做图像压缩的模型(比如 BSQViT)有一拼。
-
跟 VILA-U 的视觉模型比,QLIP-L 参数更少,但零样本分类性能更好,而且压缩率高得多(QLIP 8 倍 vs VILA-U 低压缩率),rFID 还很接近。这说明 QLIP 在理解和生成之间取得了不错的平衡。
平衡损失很重要,但有技巧:
-
实验发现(Table 3a),调整对齐损失权重( )和重建损失权重( )确实影响很大。
-
如果 太高(太看重对齐),模型分类能力可能强,但图像重建质量会变得很差。
-
如果 太高(太看重建),重建质量可能好,但分类准确率提升缓慢。
-
他们提出的那个根据收敛后的损失反向定权重的方法(比如 )看起来效果不错,能在保证重建质量的同时,只比纯 CLIP 模型低一点点分类准确率(大概 1%)。
预训练初始化帮大忙:
-
从零开始训练 QLIP 的视觉编码器效果不好(Table 3b),就算用 20 亿样本,零样本分类准确率也很低(26.4%)。这说明光靠文本监督从头学视觉特征有点难。
-
用 MIM(Masked Image Modeling)或者 CLIP 预训练好的模型来初始化,效果就好多了,分类准确率能提到 74% 以上。
-
有趣的是,用 MIM 初始化在重建任务上比 CLIP 初始化表现更好。作者猜可能是因为 CLIP 训练出来的特征里有些“异常值”(outlier tokens with high norms),对重建不太友好。
两阶段训练确实管用:
第一阶段学语义,第二阶段专门优化重建。实验证明(Table 3c),第二阶段只微调解码器,能极大提升重建质量(rFID 从 35.3 降到 3.21),虽然 PSNR 可能稍微掉一点。
他们还试了另一种策略:第一阶段不加量化,只训练普通的自编码器 + 对比学习,到第二阶段再加入量化器训练。结果发现,虽然分类准确率和 PSNR 还行,但 rFID 变得非常差(13.7 vs 3.21)。
这说明,在第一阶段就让量化过程也接受语言信号的监督(通过对比损失)对于学习到包含高层语义信息的视觉 token 很重要,因为 rFID 这个指标主要看高级特征的相似度。
4.3.2 QLIP 在下游任务中的表现
图文理解:QLIP 不输 CLIP:
-
把 QLIP 的编码器用到 LLaVA 1.5 这种 VLM 架构里,跟用同等规模、同样设置下复现的 CLIP 编码器相比,性能基本持平(Table 4)。各项指标互有胜负,总体差距不大。这说明 QLIP 在提供语义信息方面跟 CLIP 一样有效,同时还具备了生成能力的基础。
VLM 用哪层特征有讲究:
-
他们试了把 QLIP 编码器不同层的特征喂给 VLM(Table 6)。结果发现,用量化器前面那一层(倒数第二层)的特征效果最好。
-
如果用最后一层(更靠近重建目标)的特征,或者用量化器之后的特征,性能都会严重下降。这可能是因为最后一层为了重建牺牲了部分语义信息,而量化本身也会损失信息。
-
只用重建损失训练的自编码器,其特征用于 VLM 时效果也很差,再次证明了语言监督对于学习理解任务所需语义的重要性。
文生图:QLIP 比没对齐的更好:
-
把 QLIP 用在 LlamaGen 这个文生图框架里,跟用没有经过语言对齐的 BSQViT 或原始 LlamaGen 用的 VQGAN 相比,QLIP 能生成质量更高的图像(Table 7,看 gFID 和 CLIPScore)。
-
特别是,QLIP 只用了 LlamaGen 原训练数据量的 30%,效果就超过了原版 VQGAN。
-
从生成的图片例子来看(Figure 6),用 QLIP 生成的图更能紧扣文本描述的细节,比如 VQGAN 可能漏掉的“光束”、“水槽台面”、“白色灌木”、“看 [长颈鹿] 的人”等,QLIP 都能画出来。
统一多模态模型(UM3)初见成效:
最后搞的那个 UM3 模型,想用一个模型搞定所有事(纯文本、看图说话、文生图)。
实验结果(Table 5)显示,这个 1.5B 参数的 UM3 模型:
-
在一些纯文本任务上,跟差不多大小的纯语言模型(Llama-3.2 1.4B)相比,表现差不多。
-
在看图说话(COCO Captioning)上,比之前的零样本方法(ZeroCap)好得多。
-
在文生图(MS-COCO)上,生成的图像质量(CLIPScore)跟专门的生成模型(LlamaGen)相当,但 FID 略差一点。
这初步说明,基于 QLIP 这种与语言对齐的视觉 token,训练一个能同时理解和生成多种模态的统一模型是可行的。
论文标题:
Janus-Pro: Unified Multimodal Understanding and Generation with Data and Model Scaling
论文链接:
https://arxiv.org/abs/2501.17811
代码链接:
https://github.com/deepseek-ai/Janus
跟前面工作一致,本文 argue 的也是:
-
理解 VS 生成互掐:模型用同一套视觉编码处理图片理解和生成任务。就像用同一支笔画画和写文章,两边都施展不开。
-
小模型的局限:初代 Janus 只有 1B 参数,遇到简单指令(比如“画块黑板”)容易翻车,生成质量比专业绘图模型差一截。
于是,Janus-Pro 团队决定从训练策略、数据量和模型规模三路出击,打造更强大的多模态模型。
5.1 主要贡献
给视觉编码松绑:
-
把处理图片理解(比如回答问题时分析图片)和图片生成(比如画黑板)的模块拆开训练。
-
效果立竿见影:生成图片时细节更细腻(花瓣上的蜜蜂翅膀纹路都清晰),理解图片时答题正确率飙升。
数据扩展:
-
训练数据规模大幅扩展,还新加了专门提升生成稳定性的场景数据(比如节日物品图像)。
-
这让模型面对简短指令(如“新年橘子”)时,生成效果不再容易崩(不会把橘子画成苹果)。
模型扩展:
-
推出两个版本:1B 参数版保持轻量,7B 参数版主打性能。
-
7B 版本在 MMBench 综合测试中拿下 79.2分,碾压 MetaMorph 等对手。生成质量在 GenEval 测评里干掉了 DALL-E 3 这种专业选手。
5.2 方法详细
Janus-Pro 是对前代模型 Janus 的升级版,这篇论文详细介绍了它的“方法”部分。研究人员通过优化架构、训练策略、数据和模型规模,让它在多模态理解和图像生成上都更厉害。
5.2.1 架构
Janus-Pro 的架构跟 Janus 一样,核心想法是把视觉编码分开处理,避免理解和生成任务抢资源:
-
理解任务:用 SigLIP 编码器从图像里挖出高级语义特征(就是理解图片里“讲了啥”),这些特征本来是二维网格的,先拍平成一维序列,再通过一个“理解适配器”映射到语言模型(LLM)的输入空间。
-
生成任务:用 VQ tokenizer 把图像转成一堆离散的 ID(就像把图片拆成小块拼图),然后把这些 ID 对应的码本嵌入(codebook embedding)通过“生成适配器”也映射到 LLM 的输入空间。
最后,把理解和生成的特征拼成一个多模态序列,扔给一个统一的自回归 Transformer 处理。LLM 自带一个预测头负责文本输出,另外还加了个随机初始化的图像预测头,专门管生成图片。整个模型是自回归的。
5.2.2 训练策略
Janus 原来用的是三阶段训练,但有些地方效率不高。Janus-Pro 做了调整,让训练更聪明:
第一阶段:原来第一阶段主要是训练适配器和图像头,用的是 ImageNet 数据。Janus-Pro 把这阶段的训练步数加长了,发现即使 LLM 参数不动,模型也能学会像素之间的联系,根据类别名生成像样的图片。
第二阶段:Janus 在第二阶段把文本-图像训练分成两块:先用 ImageNet 数据练像素依赖,再用正常文本-图像数据练生成,结果有三分之二的时间花在了前者上,太浪费。Janus-Pro 直接砍掉 ImageNet,改用正常文本-图像数据,让模型专注学怎么根据详细描述画图。
第三阶段调比例:在监督微调阶段,Janus-Pro 把多模态数据、纯文本数据和文本-图像数据的比例从原来的 7:3:10 改成了 5:1:4。稍微少用点图像数据后,发现生成能力没掉,反而理解能力更强了。
5.2.3 数据扩展
Janus-Pro 在数据上下了大功夫:
理解数据:
-
第二阶段预训练加了 9000 万条样本,包括图片描述(比如 YFCC 数据集)、表格、图表和文档理解(比如 Docmatix 数据集)。
-
第三阶段微调又加了 MEME 理解、中文对话等数据,丰富了模型的对话能力和任务范围。
生成数据:
-
Janus 原来用的是真实数据,质量不稳定,生成的图片经常不好看。Janus-Pro 加了 7200 万条合成美学数据,让真实和合成数据的比例变成 1:1。这些合成数据的提示词是公开的,质量有保障。
-
实验发现,合成数据让模型学得更快,生成的图片更稳定,审美水平也更高。
5.3 实验发现
这篇文章的实验部分详细展示了 Janus-Pro 在多模态理解和视觉生成任务上的表现。研究人员通过一系列测试,挖出了一些特别好玩的发现。下面就用通俗的语言,把这些亮点整理出来,讲讲 Janus-Pro 到底有多厉害。
多模态理解 Janus-Pro-7B 在 MMBench 上拿了 79.2 分,比原来的 Janus(69.4 分)高出一大截,还超过了其他统一模型,比如 TokenFlow-XL(68.9 分)和 MetaMorph(75.2 分)。
图像生成:在 GenEval 测试里,Janus-Pro-7B 的总体准确率达到 80%,碾压了其他模型,比如 Transfusion(63%)、SD3-Medium(74%)和 DALL-E 3(67%)。
数据质量比数量更重要:用了 7200 万条合成美学数据后,模型学得更快,生成的图片更稳定、更漂亮。
-
启示:不是数据越多越好,高质量的合成数据比杂乱的真实数据更能帮模型提升审美和稳定性。
当前围绕"理解-生成"统一多模态系统的研究呈现出三大主攻路线,在模型架构与表达能力上取得关键突破:
功能边界的双向突破
-
自回归派(MLLM)通过学习图像离散表征与预测头,实现了从纯理解到可控生成的跨越(如 Janus-Pro 的适配器设计);
-
扩散派(Stable Diffusion 等)通过注入对比学习目标与问答数据,使生成过程具备场景推理能力(如 D-DiT 在视觉问答中的 60%+ 准确率);
模型架构的范式革新
-
探索出文本-图像对偶训练架构(D-DiT 的双分支设计)、多码本量化(UniTok 的子字典拼接)、任务感知剪枝(UniMoD 的差异化路由)等创新方案,解决传统架构中模态冲突与效率瓶颈的问题;
基础表征的改进方案
-
新型视觉 tokenizer(如 UniTok/QLIP)通过语义-细节分层编码,让单一特征兼具 CLIP 的高层语义和 VQ-GAN 的像素级重建能力,突破离散表征的信息容量限制。

















































