高斯耗时50年证明代数学基本定理,实现了从一维实数到二维复数的巨大跨越,揭示了复数在数学中的重要地位。
原文标题:高斯历时50年提出三种证明方法的重要数学定理,实现一维实数到二维复数的巨大跨越!
原文作者:图灵编辑部
冷月清谈:
怜星夜思:
2、文章提到了四元数,为什么四元数没有像复数一样得到广泛的应用?是它的性质不够好,还是我们还没有找到适合它的应用场景?
3、高斯对代数学基本定理的多次证明,是否意味着这个定理在数学界仍然存在争议,或者说存在不同的理解角度?
原文内容
“代数学基本定理”。高斯在他 22 岁时出版的学位论文中成功证明了这条定理。而且,高斯还意识到这条定理的重要性,后来又提出了 3 种不同的证明方法。最后一次证明是在他 72 岁的时候,距离第一次证明时隔 50 年。
来源 | 《用数学的语言看世界(增订版)》
作者:[日] 大栗博司
译者:尤斌斌
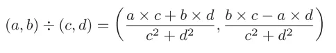
实数平方后,其结果不是 0 就是正数。之所以会等于 0,是因为原实数就是 0。因此,在实数范围内不存在平方后值等于负数的数。那么如果要寻找平方后值等于负数的数,就必须跳出实数的范围。在笛卡儿坐
标中,使用实数对 (a, b) 来指定二维平面内的点。那么,将该数对本身看作一个数字,并且定义其可以进行加法运算、减法运算、乘法运算和除法运算。因为一组是由两个实数构成,所以也意味着存在复数个要素,并叫作“复数”。
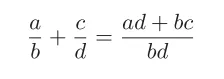
也许将数对 (a, b) 看作一个新“数字”是一个奇思妙想,不过仔细想想,分数也是一个由两个整数组成的数对。分数 a/b 就是一个整数
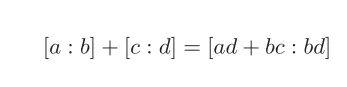
对 [a : b]。分数的加法运算如下所示:

不过,如果将其看作是对于数组 [a : b] 的运算,那么

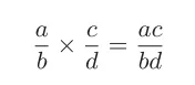
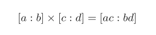
与此相同,分数的乘法运算

可以解释为

也就是说,对于整数对 [a : b],分数可以被定义为类似上述等式的加法运算和乘法运算。不过,分数还有另一个性质,即约分。

尽管是不同的整数对,如果数对中的数字之比相同,就能看作是相同的数字。
在复数中,同样要考虑数对。接下来是关于实数对。不过在这个情况下,约分法则不成立。而且,加法运算和乘法运算的方法也与分数不同。
首先,假设加法运算和减法运算的法则如下,

只要规定加法运算的法则,乘法运算的法则自然也随之确定。第 2 章中讲过的“三条运算法则”即结合律、交换律和分配律必须成立。仿照第6 章中引用的笛卡儿《方法论》,“完全列举”乘法运算法则适用范围的话,那么只有以下可能

乘法运算确定后,除法运算就是其逆运算,即

属于复数。因为可以灵活地进行加减乘除运算,同时还满足计算的基本法则,所以就可以将实数组 (a, b) 当作“数字”。当然,既然是“实数的扩张”,那么必须要包含实数在内。在复数的世界中,可以将数字 (a, 0)看作实数。接下来对其进行说明。
假设实数 a 表示直线上的位置,那么数对 (a, b) 表示的是二维平面内的位置。如果将平面代入笛卡儿坐标,那么 a 是 x 轴,b 是 y 轴上的值。也就是说,这个平面是复数的世界。因此,(a, 0) 在 x 轴上。如果将其代入前面定义的复数的加法运算和乘法运算法则,即

这与普通实数 a 和 c 的加法运算及乘法运算的法则相同。也就是说,在表示复数的平面中,实数位于 x 轴上。从一维的实数世界走进二维的世界,这就是“扩张到复数”。
因为加法运算的公式是 (a, b)+(c, d)=(a + c, b + d),所以复数(a, b) 可以记作

等式右边的 (a, 0) 部分是普通实数,因此加上 (0, b) 就是“扩张”的部分。
在 x − y 平面中,虽然 (0, b) 对应 y 轴上的点,不过其乘法运算法则与普通实数的乘法运算法则相同。在前面 (a, b), (c, d) 的乘法运算公式中,假设 a = c = 0,那么

特别是当 b = d = 1 时,

上述算式中的 (−1, 0) 相当于实数 −1,因此可以记作

这正是没有实数根的方程

的根。
在实数范围内,因为 1 乘以任何数都等于该数本身,所以被叫作乘法运算的单位。将数字概念扩张到复数后,出现了平方后值等于 −1的数 (0, 1)。这被称为虚数单位,用符号 i 表示。也就是说,

复数可以分解成 (a, b)=(a, 0) + (0, b)。(a, 0) 等于实数 a,使用虚数单位 i,(0, b) 可以写作 ib。因此,(a, b) 可以表示为

上述等式是在高中阶段会学到的复数表达形式。
相传古希腊的数学家和机械学家海伦最早发现了平方后值等于 −1的数。他就是第 7 章中借阅阿基米德信件的那个人。但是,关于虚数是否具有数学意义的问题,足足让数学家们烦恼了 1000 多年。例如笛卡儿就不相信虚数的存在,认为它不是存在于现实中,而是数学家假想出来的数字,所以给它取名为“nombre imaginaire”。这也是英语“imaginary number”和日语“虚数”的词源。
复数真正在数学中获得一席之地,主要归功于高斯。因为高斯提出了将复数表示为平面内的位置,如图 8-3。有趣的是,笛卡儿对复数的存在持有怀疑态度,最终高斯却是使用他所发现的笛卡儿坐标给复数奠定了基础。表示复数的平面叫作“复平面”或者“高斯平面”。接下来我们通过高斯的发现来说明复数。
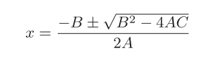
只要使用复数,就能解所有的二次方程。对于任何实数 A,B,C,

的根等于

在
的情况下,只要将其看作

即可。即使 A,B,C 均为复数,上述公式同样成立。处理方式灵活也是复数固有的特色。
想要灵活地解二次方程,必须用到复数。那么,如果碰到三次方程或四次方程,又该如何是好呢?是否需要进一步扩张数字的概念?与牛顿同时发现微积分法的莱布尼茨提出,即便使用复数也无法解四次方程。
例如
。因为其可以改写成

所以
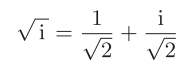
。那么,假设
,那么其平方根
。莱布尼茨认为
不属于复数,因此复数无法解上述方程。然而,莱布尼茨犯了一个错误。只要使用虚数单位的性质即
,那么

因此可以使用复数来表示,即

实际上,不管是几次方程,只要使用复数就能迎刃而解。这也是数学定理中最重要的定理之一,即“代数学基本定理”。高斯在他 22 岁时出版的学位论文中成功证明了这条定理。而且,高斯还意识到这条定理的重要性,后来又提出了 3 种不同的证明方法。最后一次证明是在他 72 岁的时候,距离第一次证明时隔 50 年。
将复数当作一个实数对,将这个数对看作是一个数,并且能够进行加法运算、减法运算、乘法运算和除法运算。但是,为什么必须是两个数组成的实数对呢?或者说我们是否可以进一步扩张数字的概念,思考由三个数组成的实数对呢?
19 世纪的爱尔兰数学家和物理学家威廉·哈密尔顿就针对上述问题展开了研究。他花了 10 年的时间,试图由三个数组成的实数对中找出新数字。哈密尔顿每晚在书房研究至深夜,早晨起床后他的孩子们总会习惯性地问他:“爸爸,你解决实数对的乘法运算问题了吗?”然后他只能回答说:“没有,目前只解决了加法运算和减法运算。”
1843 年 10 月 16 日,哈密尔顿和妻子跟往常一样在都柏林的运河畔散步,他站在布鲁穆桥突然灵光一闪,想到不是三个数,而是由四个数组成的数对。哈密尔顿立刻拿出随手携带的小刀,将对于由四个数组成的数对的乘法运算法则刻在了桥上(图 8-4)。这个数被称作“四元数”。
四元数会出现在各种数学问题中,不过没有复数那么常用。
《用数学的语言看世界(增订版)》
作者:[日] 大栗博司
译者:尤斌斌
美国加州理工学院理论物理研究所所长,日本东京大学Kavli数学物理学联合宇宙研究机构研究主任 大栗博司 教授
突破传统数学教育教学顺序、方式 / 以“语言思维”讲解数学核心概念、原理 / 回归“基本原理”重新认识数学本质



